Reference no: EM131620559
Assignment
1. Solve the following problems:
a. Simplify the following Boolean function using algebraic manipulation:
X'YZ + X'YZ' + XZ
b. Prove the identity of the following Boolean function using algebraic manipulation:
A'B'C'D' + A'B'CD'+ AB'C'D' + AB'CD' = B'D'
c. Simplify the given expression to its Sum of Products (SOP) form using Boolean postulates. Draw the logic circuit for the simplified SOP function
Y = (A + B) (A + (AB)') C + A' (B + C' ) + AB+ ABC
d. Minimize the logic function Y (A,B, C, D) =
∑ (0,1,2,3,5,7,8,9,11,14) by using Karnaugh Map. Draw logic circuit for the simplified function.
2. Draw the state diagram for the Table 1 below that describes a finite-state machine which has one input x and one output z
|
Present State
|
Next State
|
Output (z)
|
|
x = 0
|
x = 1
|
x = 0
|
x = 1
|
|
A
|
A
|
E
|
1
|
0
|
|
B
|
C
|
F
|
0
|
0
|
|
C
|
B
|
H
|
0
|
1
|
|
D
|
E
|
F
|
0
|
0
|
|
E
|
D
|
A
|
0
|
1
|
|
F
|
B
|
F
|
1
|
1
|
|
G
|
D
|
H
|
0
|
1
|
|
H
|
H
|
G
|
1
|
0
|
Table 1
3. Design two State Diagrams, each for Mealy and Moore machines, for a sequence detector that outputs a 1 when it detects the final bit in the serial data stream, "1101."
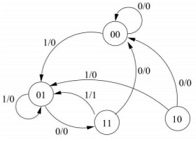
4. Consider the following state diagram in Figure 1 for a synchronous circuit with one input X and one output Z. Analyze this state diagram and draw its circuit implementation using JK flip-flop (state Q0) and T Flip-flop (state Q1) and MUX-4x1 for Z

Figure 1
5. Consider the following clocked sequential circuit in Figure 2, with one input (X) and one output (Z):

Figure 2
a. Drive a state table and draw a state diagram for the circuit 8 Marks
b. Redesign this circuit by replacing the Q1 flip-flop (i.e. the D flip-flop holding Q1 state) with a JK flip-flop, and the Q2 flip-flop with a T flip-flop. Only show the excitation equations (or state equations) for J1, K1, and T2.
c. Use MULTISIM to verify the function of the designed circuit in Part (b)
6. Write a Behavioral VHDL description for a 4-bit shift register. The shift register is to be negative edge triggered. Sin is a serial input to the most significant bit of the shift register. Sout is a serial output from the least significant bit of the shift register. En_n is an active low enable. sreg is the 4-bit register. Write only the VHDL ENTITY and ARCHITECTURE construct.