Karnaugh map
A Karnaugh map is a pictorial method of grouping together expressions with the common factors and thus eliminating unwanted variables. The Karnaugh map can be described also as a special arrangement of the truth table.
The diagram below shows the correspondence in between the Karnaugh map and the truth table for general case of a 2 variable problem.

The values in the squares are copied from output column of the truth table, thus there is one square in the map for each row in the truth table. Around the edge of Karnaugh map are values of 2 input variables. A is along the top and B is down left hand side. The figure drawn below explains this:

Values around the edge of map can be thought of as coordinates. For example, the square on the top right hand corner of the map in above diagram has
coordinates A=1 and B=0. The square corresponds to the row in truth table where A=1 and B=0 and F=1. Note that the value in F column represents a specific function to which Karnaugh map corresponds.
Example 1:
In the following map. The function plotted is: 

- Note that the values of input variables form the rows and columns. This means that the logic values of the variables A and B (with one representing true form and zero representing false form) form the head of rows and columns respectively.
- Keep in mind that the above map is a one dimensional which can be used to simplify an expression in 2 variables.
- There is a 2-dimensional map which can be used for up to 4 variables, and a 3-dimensional map for up to 6 variables.
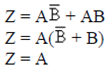
By using algebraic simplification,
Variable B becomes redundant because of Boolean Theorem T9a.
Considering map which is drawn above, the 2 adjacent 1's are grouped together. Through inspection it can be seen that variable B has its true and false form the group. This removes variable B leaving 0only variable A which only has its true form. The minimized answer thus is Z = A.
Example 2:

Consider the expression
plotted on the Karnaugh map
Pairs of 1's are grouped as shown in the figure above, and the simplified answer can be obtained by using the following steps:
Note that 2 groups can be formed for example given above, keeping in mind that the largest rectangular clusters which can be made consist of two 1s. Keep in mind that 1 can belong to more than 1 group.
The first group labeled I, comprises of two 1s which correspond to A = 0,
B = 0 and A = 1, B = 0. Put in another way, all the squares in this example which correspond to the area of map where B = 0 contains 1s, independent of the value of A. So when the value of B = 0 the output is 1. The expression of the output will contain the term 
For group labeled II corresponds to the area of the map where A = 0. The group can therefore be defined as
. This implies that when A = 0 the output is 1. The output is therefore 1 whenever B = 0 and A = 0
Hence the simplified answer is 
The tabular method which is also called as the Quine-McCluskey method is useful when minimizing functions having a large number of variables, such as the 6-variable functions. The computer programs are created by making use of this algorithm. The method reduces a function in standard sum of products form to a set of main implicants from which as many variables are eliminated as possible. These basic implicants are examined to see if some are redundant. Tabular process makes repeated use of the law
. Note that Binary notation can be taken in use for the function, however decimal notation is also used for the functions. As usual a variable in true form is represented by 1, in inverted form by 0, and the absence of a variable by a dash ( - ).
This is because the FIRST RULE of Tabular method for 2 terms to combine, and therefore eliminate one variable, is that they should differ in only one digit position.
Keep in mind that when 2 terms are combined, 1 of the combined terms has 1 digit more at logic 1 than other combined term. This shows that the number of 1's in a term is important and is referred as its index.
For instance: f(A, B, C, D)
0000...................Index 0
0010, 1000.............Index 1
1010, 0011, 1001.......Index 2
1110, 1011.............Index 3
1111...................Index 4
The essential condition for combining 2 terms is that the indices of the 2 terms should differ by one logic variable which should also be the same.

The chart is taken in use to remove redundant prime implicants. A grid is made having all the prime implicants listed at left and all the minterms of function at the top. Each minterm covered by given prime implicant is marked in the suitable position.

From the chart drawn which is above, BD is an essential prime implicant. It is the only implicant which covers minterm decimal 15 and it includes 5, 7 and 13. is also an important prime implicant. It is the only prime implicant which covers the minterm denoted by decimal 10 and it also involves the terms 0, 2 and 8. The other minterms of function are 1, 3 and 12
. Minterm 1 is there in and . Likewise for the minterm 3. We can therefore use the prime implicants for minterms. Minterm 12 is there in and , so again either can be taken in use.
Therefore, one minimal solution is: 


Email based Digital Electronics assignment help - homework help at Expertsmind
Are you searching Electronics Engineering assignment help expert for help with Karnaugh map questions? Karnaugh map topic is not easier to learn without any external help? We at www.expertsmind.com offers free lecture notes for Digital Electronics and circuits assignment help and Digital Electronics homework help. Live tutors are available 24x7 hours for helping students in their Karnaugh map related problems. We provide step by step Karnaugh map question's answers with 100% plagiarism free content. We prepare quality content and notes for Karnaugh map topic under Digital electronics theory and study material. These are avail for subscribed users and they can get advantages anytime.
Why Expertsmind for assignment help
- Higher degree holder and experienced experts network
- Punctuality and responsibility of work
- Quality solution with 100% plagiarism free answers
- Time on Delivery
- Privacy of information and details
- Excellence in solving Digital electronics engineering questions in excels and word format.
- Best tutoring assistance 24x7 hours