Transform from Star or Wye (Y) to Delta (Δ)
To transform a Wye (Y) to a Delta (Δ), the relationships RAB, RBC, & RCA should be acquired in terms of the Wye (Y) resistances (as shown in figure below). Considering the Y connected network, we can write the current expression via RA resistor as
 to Delta (Δ).png)
 to Delta (Δ) 1.png)
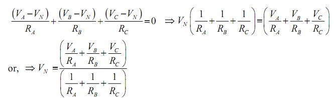
Appling the KCL at ‘N ’ for Y connected network (suppose A, B, C terminals having higher potential than the terminal ) we have,
 to Delta (Δ) 2.jpg)
For Δ -network (see the figure shown above), Current entering at terminal A = Current exit the terminal ‘A’
 to Delta (Δ) 3.png)
From equations the above equations, we have
Using VN the expression in the above equation, we get
 to Delta (Δ) 4.png)
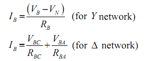
Likewise, IB for both the networks (as shown in figure above) are specified by
 to Delta (Δ) 6.png)
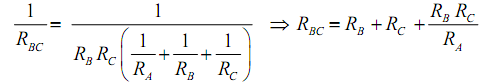
Now, equating the above two equations and using the value of VN (above equation), we acquire the final expression as
 to Delta (Δ) 7.png)
Equating the coefficient of VBC in both sides of the above equations we acquire the relation shown below:
 to Delta (Δ) 8.png)