Damped Free Vibration:
In undamped free vibrations, two elements (mass and spring) were utilized but in damped free vibrations third element besides these is used. This third element is damper. This three element model is illustrated in Figure 7. In static equilibrium
k Δ= mg
mx'= mg - k ( x + Δ) - cx'
∴ m x' =- kx - cx'
mx'+ cx' + kx = 0
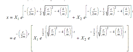
Let x = X est . . (13)
By substituting for x in Equation (13) and simplifying it
?s2 + c s + k = 0
or s2 + (c /m)s + (k/m) = 0 . . . (14)
. . . (15)

(i) (ii) (iii)
The solution of Equation (13) is specified by below equation
. . . (16)