Specific Steam Consumption (SSC)
The specific steam (or fluid) consumption is stated as the steam consumed in a power plant to generate one unit power (kW).
Mathematically it is represented as,
.png)
Relative Efficiency:
This is the ratio of Thermal Efficiency to the Rankine Efficiency
ηrel = ηth / ηR
Thermodynamic Variables:
The thermodynamic variable that persuades the efficiency and yield of Rankine cycle are as follows:
• By raising the steam pressure at inlet to turbine is termed as pressure at throttle case.
• By raising the temperature of steam at inlet to turbine termed as temperature at throttle case.
• By reducing the steam pressure at exhaust.
Effect of Pressure at Throttle Case:
By examining the figure shown below, you will observe that, by raising the steam pressure at inlet to turbine, keeping the least temperature and keeping the exhaust pressure is supposed constant. Some rise in efficiency of the cycle is noticed.
 1.png)
Figure: Effect of Admission Pressure at Inlet to Turbine
Cycle 1-2-3-4-5-6-1 is for inlet pressure P and cycle 1′-2′-3′-4′-5′-6′-1′ is for high inlet pressure p′. From the figure shown above we notice that at high-pressure p′, work completed is decreased by the hatched region (1-2-2′-6-1) though raised by the region (4-4′-5′-1′-6-5-4). Both the regions are almost equivalent though at higher-pressure heat discarded is less by the amount of region 2′-2″-2′-2. Hence the efficiency is raised.
Effect of Temperature:
Whenever the initial temperature of the steam rises, what affect it is going to provide on the efficiency of the power plant can be establish.
As shown in figure below, when we raise the temperature of a steam from T1 to T′1 at inlet of turbine, the work completed will be raised by the amount of shaded region 1-1′-2-2′-1. The heat supplied to the steam is also raised by the amount of region 2-2′-2″-2″-2. Hence, the total efficiency of the cycle rises with raise in degree of super heat.
 2.png)
Figure: Rankine Cycle with Super Heat
Example:
The Steam power plant has steam at a Pressure of 40 bar and temperature 400oC and exhausted into a condenser where, a pressure of 0.05 bar is sustained. The mass flow rate of steam is 160 kg/sec. Compute:
• The Rankine Cycle Efficiency
• Rankine Engine Efficiency
• Power Developed
• Specific Steam Consumption
• The Heat rejected into the Condenser per hour
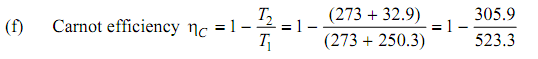
• Carnot Efficiency
Solution:
P1 = 40 bar, t1 = 400oC, Pb = 0.05 bar, ms = 160 kg/sec.
From steam tables:
h1 = 3215.7 kJ/kg,
s1 = 6.773 kJ/kgK,
s1 = s2 = sf2 + x2 sfg2,
Pb = 0.05 bar,
sf2 = 0.476 kg/kgK,
sfg2 = 7.919 kg/kgK
On substituting the values,
6.773 = 0.476 + x2 (7.919)
x2 = 0.795
h2 = hf2 + x2 hfg2
h2 = 137.8 + 0.795 (2423.7)
h2 = 2064.64 kJ/kg
v3 = vf2= 1.005 × 10-3m3/kg
 3.png)
= (1151.06 - 3.99) / (3077.9 - 3.99)
= 1147.07 / 3073.91
ηR = 0.37 = 37%
(b) Rankine engine efficiency = (h1- h2) / (h1 – h3)
= (1151.06) / (3077.9)
= 0.3739 = 37.39%
Note: Rankine engine efficiency is about equivalent to Rankine efficiency. Therefore in Rankine cycle efficiency, the pump work is ignored.
(c) Power Developed = ms x Work done per kg
= 160 (h1- h2)
= 160 (1151.6)
= 184256 kW = 184.256 MW
(d) Specific steam consumption = 3600 / (h1- h2)
= 3600 / 1151.6
= 3.125 kg/hr.kW
(e) Heat rejected in the condenser = Q2 = ms (h2 – h3)
= 160 (3077.9)
= 422464 kJ/s
 4.png)
= 1 - 0.584 = 0.416 or 41.6%