Natural Frequency Assignment Help

Assignment Help: >> Transverse Vibrations Of Multi Degree Freedom Systems - Natural Frequency

Natural Frequency:

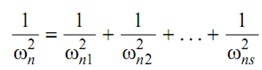
This method is utilized to measured natural frequency of shaft/beam carrying single or various loads and also its mass is considered for basic mode only. There is an equation is known as Dunkerley's equation that is follows as:

           108_Natural Frequency.png      --------- (46)

Here ωn = Natural circular frequency for shaft/beam for basic mode,

ωn1 = the natural circular frequency of the shaft/beam letting only the load 1 and mass of shaft/beam neglected,

ωn2 = the natural circular frequency of the shaft/beam letting only the load 2 and mass of the shaft/beam neglected, and

ωns = Natural circular frequency of the shaft/beam letting its mass only.

Substituting the relevant values in Equation (46), the value of natural circular frequency 'ωn' can be calculated.

Free Assignment Quote

Assured A++ Grade

Get guaranteed satisfaction & time on delivery in every assignment order you paid with us! We ensure premium quality solution document along with free turntin report!

All rights reserved! Copyrights ©2019-2020 ExpertsMind IT Educational Pvt Ltd