Simple Harmonic Motion (SHM):
The displacement diagram may be constructed as:
(a) Draw a semi circle having lift (L) as diameter throughout rise stroke or return stroke or both as the case can be.
(b) Split the cam displacement angle, θr for return or θ0 for rise, or both as needed into equivalent divisions say 6 or 8. Also, divide semi circles into similar no. of equivalent portions.
(c) Project intercepts at the semi circle to equivalent divisions on the cam displacement interval. Mark the points so attained.
(d) Join the point's free hand having a smooth curve. The diagram so attained is shown in Figure (a).
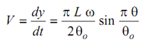
At any point, the displacement of the follower is provided by the following given expression:

. . . (6.4)
here
for rise and
for return.
Thus, for rise,

By differentiating it, we obtain
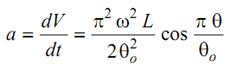
. . . (6.5)
where ω is cam speed, and
. . . (6.6)
