Bonds and Hybridized Centers Assignment Help

Assignment Help: >> Structure and bonding - Bonds and Hybridized Centers

Bonds and Hybridized Centers:

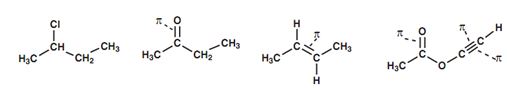
σ and π bonds

In a molecule identifying σ and π bonds is quite easy as long as you keep in mind the following rules:

  • Every bond in organic structures is either sigma (σ) or pi (π) bonds;
  • Every single bonds is σ bonds;
  • All double bonds are made up of one σ (Sigma) bond and one π (pi) bond;
  • All triple bonds are made up of one σ (Sigma) bond and two π (pi) bonds.

1464_Bonds and Hybridized Centers.png

Figure: Examples - all the bonds shown are σ bonds except those labeled as π.

Hybridized centers Reactivity
Shape
Free Assignment Quote

Assured A++ Grade

Get guaranteed satisfaction & time on delivery in every assignment order you paid with us! We ensure premium quality solution document along with free turntin report!

All rights reserved! Copyrights ©2019-2020 ExpertsMind IT Educational Pvt Ltd