Log-normal Distribution
The log-normal distribution can be a good fit to the distribution of component repair times and consequently is becoming an important distribution in the analysis of the repairable systems. The PDF for the distribution is

Where σ = log standard deviation of t.
X = log10 t;
ξ = log mean value of x;
0.4343 =1 / log10
Log-normal cumulative distribution function is following
F (t) = φ( log - (ξ / σ ))
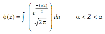
where "φ " is the standard normal cumulative distribution function and can be given by
The log-normal reliability function is specified by
R (t) = 1 - φ( log (- ξ / σ ); t > 0