V-belt or Rope:
The V-belt or rope make contact on the two sides of the groove as illustrated in fig

(a) (b)
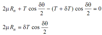
Assume the reaction be 'Rn' on each of the two sides of the groove. The resultant reaction shall be 2Rn sin α.
Determine all the forces tangentially in the Figure (b), we obtain
. . . (8.8)
Determining all the forces radially, we obtain

As δθ is very small

By neglecting the product of the two infinitesimal quantities

By putting the value of Rn and utilizing the approximation 
we obtain

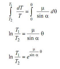
Taking the limits and integrating between limits, we get
.........8.9