Relative Humidity:
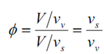
The relative humidity φ is referred as the ratio of the mole fraction of water vapour in moist air along mole fraction of water vapour in saturated air at the similar temperature & pressure. From perfect-gas relationships another expression for φ is
...6.16
As well,
...6.17
While pv is equivalent to ps, φ is equivalent to unity, and the air get saturated and is referred to have 100 % RH. From Eqs (6.14) & (6.17), we can say that
