Life equation for a turning operation Assignment Help

Assignment Help: >> Production Rate and Profit Rate Criteria - Life equation for a turning operation

Life equation for a turning operation:

As for minimum cost, decrease in Tl and Td will increase the production rate. Increase in cutting speed will reduce Tc but it will increase the tool changing time per component (tool life decreases at higher cutting speed); a minimum time per component (TT) (or maximum production rate) will therefore result as can be given.

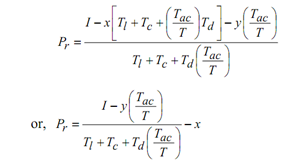
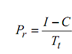
The profit rate (Pr) is expressed by

                                                       1592_Life equation for a turning operation.png      ------------- (6)

where, I is income per component excluding material cost and C is cost per component excluding material cost.

2474_Life equation for a turning operation1.png  -----------------(7)

The variables which reduce the cost per component and increase the production rate will increase the profit rate. In general, the speed for maximum profit rate will differ from those for minimum cost per component and maximum production rate.

The generalized tool life equation for a turning operation is given by

825_Life equation for a turning operation2.png  ------------------(8)

where,

T = tool life in minutes,

V = cutting speed in m/min,

f  = feed in m/rev,

d = depth of cut in m, and

K, A, B = constants.

1/n, 1/n1, 1/n2 are exponents of speed, feed and depth of cut, respectively.

In the following analysis, it is assumed that machine tool, tool and work material have been selected. The three criteria discussed above will be applied only to a single pass turning operations.

Free Assignment Quote

Assured A++ Grade

Get guaranteed satisfaction & time on delivery in every assignment order you paid with us! We ensure premium quality solution document along with free turntin report!

All rights reserved! Copyrights ©2019-2020 ExpertsMind IT Educational Pvt Ltd