Analytic and Geometric Properties:
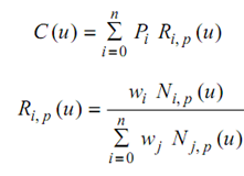
The curve from Eq. (1) might be rewritten into the following corresponding form :
---------------- (5)
here Ri, p (u) are rational basis functions. Their analytic properties find out the geometric behavior of curves. The most important properties are following :
- Generalization : If all of the weights are set to 1, then

here the 0s & 1s in U are repeated along multiplicity p + 1, and Bi, p (u) mention the Bernstein polynomials degree.
- Locality: Ri, p (u) = 0 if u ∉ [ui , ui + p +1 ] .
- Partition of Unity: ∑ Ri, p (u) = 1 .
- Differentiability: In the interior of a knot span, the rational basis functions are infinitely constantly differentiable if the denominator is limited away from zero. At a knot they are p-k times constantly differentiable where k is the multiplicity of the knot.
Ri, p (u; wi = 0) = 0
Ri, p (u; wi →+ ∞) = 1
Ri, p (u; w j → + ∞) = 0 j ≠ i