Maximum Profit Rate Criterion Assignment Help

Assignment Help: >> Machining Economics - Maximum Profit Rate Criterion

Maximum Profit Rate Criterion:

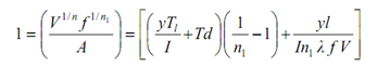
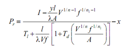
The criterion is based on maximizing Eq. (7). Substituting Equation (8) and (9) in

(7), we get

                          195_Maximum Profit Rate Criterion.png   ---------- (25)

 

For maximum profit rate,

∂Pr /∂V = 0           ---------------- (25(a))

∂Pr/∂f   = 0       ---------------- (25(b))

Differentiate above Eq. (25) with respect to V and simplify. Then, the condition for maximum profit rate with respect to speed is obtained as Eq. (26).

  2138_Maximum Profit Rate Criterion1.png  ----------- (26)

Similarly, the condition for maximum profit rate with respect to feed is given by

           620_Maximum Profit Rate Criterion2.png------------- (27)

Eqs. (26) and (27) cannot be satisfied simultaneously hence no unique maximum profit rate exists. The conditions for the highest profit rate are found by selecting the maximum possible feed, and then speed corresponding to Eq. (10.26). The method of selecting the cutting conditions when various restrictions apply is similar as discussed in the case of minimum cost per component.

Free Assignment Quote

Assured A++ Grade

Get guaranteed satisfaction & time on delivery in every assignment order you paid with us! We ensure premium quality solution document along with free turntin report!

All rights reserved! Copyrights ©2019-2020 ExpertsMind IT Educational Pvt Ltd