Maximum Production Rate Criterion Assignment Help

Assignment Help: >> Machining Economics - Maximum Production Rate Criterion

Maximum Production Rate Criterion:

Maximum production rate means the time required to make each component should be minimum. The time per component for a single-pass turning operation is found by substituting Eqs. (8) and (9) in Eq. (5). Thus,

                            2313_Maximum Production Rate Criterion.png ------------- (21)

Assuming that Tl and Td are lowest possible, the conditions for maximum production rate are evaluated as follows :

For optimum cutting speed,

                                   ∂Tt /∂V  = 0

Following the same procedure as in Section 10.3, solution of the above equation will result in

                        1068_Maximum Production Rate Criterion1.png                 ------------- (22)

Similarly, for optimum feed rate

                                ∂Tt/∂f   = 0

Solution of the above equation will result in

         1922_Maximum Production Rate Criterion2.png     ----------- (23)

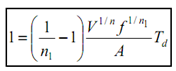
Eqs. (22) and (23) cannot be satisfied simultaneously hence an unique minimum time per component (i.e., maximum production rate) does not exist. Eq. (10.22) is often presented in the form

               1152_Maximum Production Rate Criterion3.png     . . . (24)

where, Tv p is the tool life for maximum production rate when speed is optimized. The tool life Tv p is found first and speed is found when the feed is selected. In the same say, T fp using Eq. (23) can be evaluated.

Free Assignment Quote

Assured A++ Grade

Get guaranteed satisfaction & time on delivery in every assignment order you paid with us! We ensure premium quality solution document along with free turntin report!

All rights reserved! Copyrights ©2019-2020 ExpertsMind IT Educational Pvt Ltd