Velocity Ratio and Centre Distance:
Spiral gears contain different helix angles say ψ1 and ψ2.
Normal pitch line velocity, Vn = V1 cos ψ1 = V2 cos ψ2
∴
Velocity Ratio (VR) =

here d1 and d2 are pitch circle diameters.

= t1/ t2 . . . (9.9)
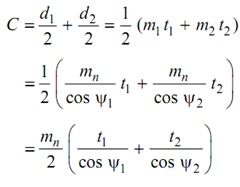
The minimum centre distance among two skew shaft axes
. . . (9.10)
For parallel shaft axes, ψ1 = ψ2 = ψ
∴ 