Determination of Governor Effort and Power:
The effort and power of a Porter governor has been estimated. The similar principle can be utilized for any other kind of governor also.

(a) (b)
Above figure shows the two positions of a Porter governor.
Assume N = Equilibrium speed corresponding to configuration illustrate in Figure (a),
W = Weight of sleeve in N,
h = Height of governor equivalent to speed N, and
c = A factor that when multiplied to equilibrium speed, gives the enhanced in speed.
∴ Increased speed = Equilibrium speed + Increase of speed,
= N + c. N = (1 + c) N, and . . . (12.20)
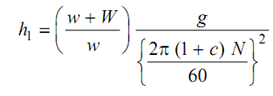
h1 = Height of governor equivalent to enhanced speed (1 + c) N. The equilibrium place of the governor for the enhanced speed is illustrated in Figure (b). To prevent the sleeve from rising while the enhanced of speed occur, a downward force shall have to be exerted on the sleeve.
Let W1 = New weight of sleeve so that the enhancing of sleeve is prevented while the speed is (1 + c) N. it means that W1 is the weight of sleeve while height of governor is h.
∴ Downward force to be applied while the increasing of sleeve is to be prevented while speed enhanced from N to (1 + c) N = W1 - W.
While speed is N rpm and assume the angles α and β are equivalent so that k = 1, the height h is given by following equation

If the speed increases to (1 + c) N and height remains the similar

Equating the two values of h specified by above equations, we obtain the following eq.

(w + W) (1 + c) 2 = w+W1
W1 = (w + W) (1 + c) 2 - w
(W1 - W) = (w + W) (1 + c) 2 - (w + W )
= (w + W ) {(1 + c)2 - 1}

If c is very small . . . (12.23)
But W1 - W is the downward force that must be applied to prevent the sleeve from rising while the increase of speed occurs. It is also the force exerted through the governor on the sleeve while the speed modification from N to (1 + c) N. As the sleeve increase to the new equilibrium position as illustrated in Figure (b), this force slowly diminishes to zero. The mean force P exerted on the sleeve throughout the change of speed from N to (1 + c) N is thus given by

It is the governor effort.
If weight on the sleeve is not enhanced
. . . (12.25)
h - h1 = 2 x
h / h1 = (1 + c)2
or x = c h1

∴ Governor power = Px = c2 h1 (w + W ) . . . . (12.26)