Already have an account? Get multiple benefits of using own account!
Login in your account..!
Remember me
Don't have an account? Create your account in less than a minutes,
Forgot password? how can I recover my password now!
Enter right registered email to receive password!
Diamental Pitch:
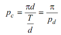
This is described as the number of teeth per unit length of the pitch circle diameter. Thus, diamental pitch (pd) may be expressed as
pd = T/ d . . . (8.17)
From above Eqs. (8.16) & (8.17)
or, pc pd = π . . . (8.18)
Get guaranteed satisfaction & time on delivery in every assignment order you paid with us! We ensure premium quality solution document along with free turntin report!
whatsapp: +91-977-207-8620
Phone: +91-977-207-8620
Email: [email protected]
All rights reserved! Copyrights ©2019-2020 ExpertsMind IT Educational Pvt Ltd