Transmission of Motion between Gears:
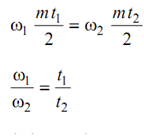
The gears when transmitting motion may be replaced by their pitch cylinders as illustrate in figure 1 on first page. Let ω1 and ω2 be angular velocities of gears 1 and 2 respectively. Assume t1 and t2 be respectively the number of teeth on gears 1 and 2. The two mating gears contain same module 'm'. Referring to given figure. The pitch circle radius of gear 1,
O1 P = m t1/2
The pitch circle radius of gear 2,
O2 P = mt2/2
The velocity of pitch point 'P' letting gear 1,

The velocity of pitch point 'P' letting gear 2,

Thus,
. . . (9.1)
Therefore, the gear ratio is inversely proportional to ratio of number of teeth.
The centre distance among the two gears,
. . . (9.2)