Path of Contact in Involutes Gears:
Assume two gears 1 and 2 with centres O1 and O2 mesh each other when transmitting motion as illustrated in Figure. The gear 1 is the driver and drives gear 2. The line EF is the common tangent to base circles of these both gears. The addendum circle of gear 2 meets common tangent EF at point C and this point shall be the begin of the contact of the two meshing teeth. The addendum circle of gear 1 meets EF at D and the contact shall terminate at this point. Thus, CD is the path of contact.

Let, r = the pitch circle radius of gear 1,
ra = addendum circle radius of gear 1,
R = pitch circle of radius of gear 2, and
Ra = addendum circle radius of gear 2.
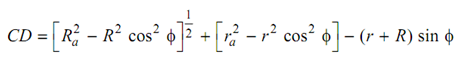
Path of contact = CD
CD = Path of approach + Path of recess
Or CD = CP + PD CP = CF - PF
The triangle O2 C F is a right angled triangle.
Thus,
O2 C 2 = O2 F 2 + CF 2
CF = (O2 C2 - O2 F2 )1/2

PF = O2 P sin φ = R sin φ
Thus,

Likewise,

. . . (9.3)