Already have an account? Get multiple benefits of using own account!
Login in your account..!
Remember me
Don't have an account? Create your account in less than a minutes,
Forgot password? how can I recover my password now!
Enter right registered email to receive password!
Alkenes to ethers:
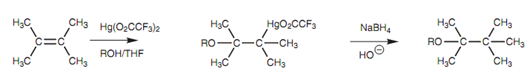
An identical reaction to the mercuric acetate or sodium borohydride synthesis of alcohols permits the conversion of alkenes to ethers. In this case, mercuric trifluoracetate is employed as shown in figure.
Figure: Synthesis of ether from an alkene using mercuric trifluoroacetate
Get guaranteed satisfaction & time on delivery in every assignment order you paid with us! We ensure premium quality solution document along with free turntin report!
whatsapp: +91-977-207-8620
Phone: +91-977-207-8620
Email: [email protected]
All rights reserved! Copyrights ©2019-2020 ExpertsMind IT Educational Pvt Ltd