Inductance Assignment Help

Assignment Help: >> Electrical Measurement - Inductance

Inductance:

Inductance is described as the ability of a coil to store energy, induce a voltage within itself, and oppose changes in current flowing by it. A symbol used to denotes inductance in electrical equations and formulas is a capital L. The units of measurement are known as henries. The unit henry is abbreviated through using the capital letter H. A single henry is the amount of inductance (L) which allows one volt to be induced (VL) whenever the current by the coil changes at a rate of one ampere per second. The given Equation (1-8) is the mathematical representation of the rate of change in current by a coil per unit time.

2357_Inductance.png                 (1-8)

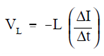
Equation (1-9) is the mathematical representation for the voltage VL   induced in a coil along with inductance L. The negative sign denotes that voltage induced opposes the change in current by the coil per unit time (I/ t).

518_Inductance1.png                       (1-9)

Inductance will be studied in additional detail later in this text.

Free Assignment Quote

Assured A++ Grade

Get guaranteed satisfaction & time on delivery in every assignment order you paid with us! We ensure premium quality solution document along with free turntin report!

All rights reserved! Copyrights ©2019-2020 ExpertsMind IT Educational Pvt Ltd