Example of Double Angle Struts:
Design a double angle strut placed back to back but on opposite sides of 10 mm gusset plate to carry a compressive load of 120 kN. The length of the strut between intersections is 2.8 m (fy = 250 MPa). See Figure.

Figure
Choose two ISA 75 × 75 × 6 angles placed as shown in Figure 5(a) on opposite side of the gusset plate.
The properties of the angle are shown in Figure 5(c).
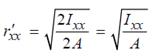
For double angle,
= rxx= 2.30 cm , and


Hence, rmin = rxx = 2.30 cm = 23 mm. Effective length is taken as 0.85 × Intersection distance (as two rows of rivets are provided with suitable tack rivets).
∴ leff = 0.85 × 2.8 m = 0.85 × 2800 mm = 2380 mm
∴ λ = 2380/23 = 103, the corresponding value of σac = 77.6 MPa (from Table 2), and allowable axial compression
= 77.6 × 2A = 77.6 × 2 × 866 N = 126.5 kN
This is about 5% more than the required value, hence may be adopted.