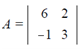
Example of Determinant:
Find out the determinant of A.

Solution:
A = (6•3) - (-1•2)
= 18 - (-2)
= 18 + 2
= 20
To expand a matrix larger than a 2 x 2 needs that it be simplified down to various 2 x 2 matrices that can then be solved for their determinant. It is simplest to explain the process by example.
Given the 3 x 3 matrix:
1 3 1
4 1 2
5 6 3
Any single row or column is picked. In this instance, column one is chosen. The matrix will be expanded using the elements from the first column. Each of the elements in the selected column will be multiplied through its minor beginning with the first element in the column (1). A line is then drawn by all the elements in the similar row and column as 1. Because this is a 3 x 3 matrix, that leaves a minor or 2 x 2 determinant. This output of 2 x 2 determinants is known as the minor of the element in the first row first column.

The minor of element 4 is:

The minor of element 5 is:

Each element is given a sign based on its position in the original determinant.

The sign is positive (negative) if the sum of the row plus the column for the element is even (odd). That pattern can be expanded or reduced to any size determinant. The positive and negative signs are only alternated.
Every minor is now multiplied by its signed element & the determinant of the resulting 2 x 2 calculated.

Determinant = (-9) + (-12) + 25 = 4