Clearance Volumetric Efficiency:
The clearance or gap among the I.D.C. position of the piston & cylinder head is essential in reciprocating compressors to provide for thermal expansion & machining tolerances. A clearance of (0.005L+0.5) mm is generally provided. This space together with the volume of the dead space among the cylinder head & valves forms the clearance volume. The ratio between the clearance volume Vc and the swept volume Vb is known as the clearance factor C, that is,
C = Vc/Vp
This factor is generally ≤ 5 per cent.
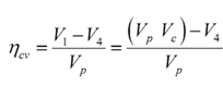
The influence of clearance in reciprocating compressors is to shrink the volume of the sucked vapour, as can be seen in illustrated figure. The gas trapped in the clearance space which expands from the discharge pressure to the suction pressure and therefore fills a part of the cylinder space before suction start. Only considering the effect of clearance on volumetric efficiency, we have from above fig , for clearance volumetric efficiency
....................3.4
The volume taken by the expanded clearance gases before suction begins is
