Intersection Angle Two Curves Assignment Help

Assignment Help: >> Calculus - Intersection Angle Two Curves

Intersection Angle Two Curves:

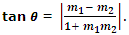
If two curves intersect at an arbitrary point P, the angle of intersection of the provided curves is the angle in between tangents to the curves at P.

The angle of intersection, θ, of the two curves at an arbitrary point P is shown by the formula

161_Intersection Angle Two Curves.png 

Where m1 and m2 are the slopes of the curves to the provided curves at P.

Corollary: Two curves intersect orthogonally at P if

m1 × m2 = - 1

where m1 and m2 are the slopes of the curves to the provided curves at P.

Free Assignment Quote

Assured A++ Grade

Get guaranteed satisfaction & time on delivery in every assignment order you paid with us! We ensure premium quality solution document along with free turntin report!

All rights reserved! Copyrights ©2019-2020 ExpertsMind IT Educational Pvt Ltd