Trigger strategy:
Produce half of the monopol output (qm/2) in the first period. Continue t iY to produce the same in the t period if both the firms produced (qm/2) in the t-1th period; otherwise produce the Cournot output qc.
The profit to one firm when both the firms produce (qm/2) is denoted by Πm/2 Whereas the profit accruing to each firm when both produce qc is denoted by Πc

Finally, if firm 1 is going to produce (qm/2) this period, then the quantity that maximises j's profit in this period, is obtained solving the following simple maximisation problem:

The solution of the problem can be obtained from the first order condition of profit maximisation, that is,

with associated profit
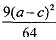
. We will denote this profit by Πd (d stands 64 for deviation). Therefore, it is a Nash equilibrium for both the firms to play the trigger strategy, given earlier provided that, present value of payoff from the trigger strategy ≥ present value of the payoffs deviated in the first period.

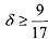
Substituting the values of Πd and Πd, into the above equation, we get if
, then the inequality will hold and the trigger strategy will be sub-game 17 perfect.
Thus, we see that collusion in infinitely repeated games can fetch extra payoffs to the firms.