Rational Parametric Curves Assignment Help

Assignment Help: >> B-spline Curves - Rational Parametric Curves

Rational Parametric Curves:

We can generalize the polynomial curves above into rational curves by utilizing homogeneous coordinates in 705_Rational Parametric Curves.png  described and2152_Rational Parametric Curves1.png.

The Nth degree rational curve is provided by

1611_Rational Parametric Curves2.png

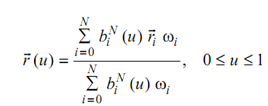
Therefore

2190_Rational Parametric Curves3.png

Find out by the real roots of the denominator Rational B-splines
Rational quadratic curves-conic sections
Free Assignment Quote

Assured A++ Grade

Get guaranteed satisfaction & time on delivery in every assignment order you paid with us! We ensure premium quality solution document along with free turntin report!

All rights reserved! Copyrights ©2019-2020 ExpertsMind IT Educational Pvt Ltd