Already have an account? Get multiple benefits of using own account!
Login in your account..!
Remember me
Don't have an account? Create your account in less than a minutes,
Forgot password? how can I recover my password now!
Enter right registered email to receive password!
Chemistry of Nitriles:
Preparation
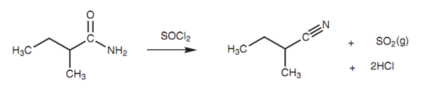
Nitriles are generally prepared through the SN2 reaction of a cyanide ion along with a primary alkyl halide. Though, this limits the nitriles that can be synthesized to those having the following common formula RCH2CN. A much more general synthesis of nitriles includes the dehydration of primary amides with reagents like thionyl chloride or phosphorus pentoxide as shown in diagram.
Figure: Dehydration of primary amides with thionyl chloride.
Get guaranteed satisfaction & time on delivery in every assignment order you paid with us! We ensure premium quality solution document along with free turntin report!
whatsapp: +91-977-207-8620
Phone: +91-977-207-8620
Email: [email protected]
All rights reserved! Copyrights ©2019-2020 ExpertsMind IT Educational Pvt Ltd