Write out the general form of difference equation, Electrical Engineering

Assignment Help:

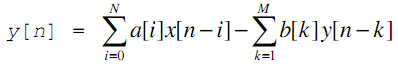
Write out the General Form of Difference Equation?

If the x[n] is the input and y[n] is the output of a linear time-invariant  system,  then  an  N  order  FIR  difference  equation  that describes the system has the form of:  

y[n] = a[0]x[n] + a[1]x[n - 1] + ... + a[N]x[n - N]

383_General Form of Difference Equation 1.png

and for an N order IIR difference equation has the form of:  

y[n] =  a[0]x[n] + a[1]x[n - 1] + ... +a[N]x[n - N]

- b[1]y[n - 1] - b[2]y[n - 2] - ... - b[M]y[n - M]

1803_General Form of Difference Equation 2.png


Related Discussions:- Write out the general form of difference equation

State the functions of a fuse, State the functions of a fuse. Fuse is ...

State the functions of a fuse. Fuse is a protective device that made of a thin wire or strip. This strip or wire is placed with the circuit this has to protect, therefore the

Meter field testing and installation practices, Meter Field Testing and Ins...

Meter Field Testing and Installation Practices Here, we discuss the installation, commissioning and field testing of meters. Energy Meters - Installation and Commissionin

Explain time multiplexed space switching, Explain time multiplexed space sw...

Explain time multiplexed space switching? With a neat diagram illustrate its operation. Ans: Time division switches where an outlet or an inlet corresponded to a single s

Calculate the minimum sampling frequency, Three sine waves along with frequ...

Three sine waves along with frequencies 100Hz, 200Hz and 350Hz and with amplitudes of 1V, 2V and 1.5V correspondingly, are added together to make a single waveform. What is the min

Dc motor - motor control , DC Motor The motor  which  require dc  supp...

DC Motor The motor  which  require dc  supply to drive them are called DC motors DC motor  consist  two types  of windings. a. Fields Winding b. Armature Winding

Fermi dirac level, Fermi Dirac level: Sol. The Fermi level is simply...

Fermi Dirac level: Sol. The Fermi level is simply a reference energy level. It is the energy level at which the probability of finding an electron n energy unit above it in

Planning and research in power system, Q. Planning and Research in power sy...

Q. Planning and Research in power system? Energy research worldwide is assuming top priority, in particular because of economic, en - vironmental, and resource constraints. DOE

Differences between vga and cga graphics adapters, Q.9 What are the main...

Q.9 What are the main differences between VGA and CGA graphics adapters? Ans: Colour Graphics Adapter (CGA), initially also known as Colour/Graphics Adapter or IBM Colo

Banking system , banking system is the collection of financial entities, in...

banking system is the collection of financial entities, infrastructure and practices which support financial transactions . system tech is a software system to handle their transa

3-phase 4 wire meters with ct and md, 3-Phase 4 Wire Meters with CT and MD ...

3-Phase 4 Wire Meters with CT and MD If load is commonly more than 50 A, CT operated meters should be used. It is to be remembered that CTs should be properly selected for acc

Write Your Message!

Captcha
Free Assignment Quote

Assured A++ Grade

Get guaranteed satisfaction & time on delivery in every assignment order you paid with us! We ensure premium quality solution document along with free turntin report!

All rights reserved! Copyrights ©2019-2020 ExpertsMind IT Educational Pvt Ltd