What are the properties of cost function, Microeconomics

Assignment Help:

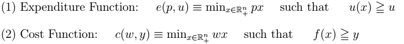
What are the properties of cost function?

Properties of Cost Functions:

Some similarities are here with consumer theory. Such similarities are actually exact while one compares the cost function along with the expenditure function. In fact, consider their definitions by given as:

180_Properties of Cost Functions.png

The two optimization problems are identical mathematically. Therefore, for every theorem we proved about expenditure functions, where an equivalent theorem for cost functions is demonstrates. These results state here, but do not require proving them. Their proofs are known to those provided for the expenditure function.


Related Discussions:- What are the properties of cost function

Elasticities of demamnd, The demand for soft drinks has been estimated asQx...

The demand for soft drinks has been estimated asQx 20PX 0.25PY0.45M 2 Determine the own, cross and income price elasticities of demand. Interpret your results.

Detergent Cartel problem, 2) Proctor & Gamble (P&G) and the Lever Co. decid...

2) Proctor & Gamble (P&G) and the Lever Co. decide to form a laundry detergent cartel for future sales in Europe. Lever is more efficient than P&G. a)illustrate graphically how the

Economic institutions, Since World War II, North Korea has had a centrally ...

Since World War II, North Korea has had a centrally planned economy in which the government makes the big decisions on how resources will be allocated. Why would you expect North K

Calculate the concentration of standard solution, 1. A standard solution of...

1. A standard solution of potassium hydroxide (KOH) was prepared by dissolving 15g of KOH in 250.0mL of distilled water. (a) Calculate the concentration of this standard solution.

Detergent Cartel problem, 2) Proctor & Gamble (P&G) and the Lever Co. decid...

2) Proctor & Gamble (P&G) and the Lever Co. decide to form a laundry detergent cartel for future sales in Europe. Lever is more efficient than P&G. a)illustrate graphically how the

Moving average methods, Moving Average Methods: Under this methods the movi...

Moving Average Methods: Under this methods the moving average to the sales of the past years is computed. The computed moving average is taken as forecast for the next year or peri

Homework, If a person literally had “nothing else to do,” (a) What would b...

If a person literally had “nothing else to do,” (a) What would be the opportunity cost of doing this homework?

Mixed economy, is south african economic system more allocative efficient?

is south african economic system more allocative efficient?

Equilibrium price & quantity, Research has revealed the following informati...

Research has revealed the following information about the market for Thomas chocolates; the demand schedule can be represented by the equation Qd=850 @20 dollar. The supply schedul

Compute numerically the equilibrium quantity, You are examining the effects...

You are examining the effects of a specific tax of 10 cents imposed on the sales of a product that we shall call XYZ. To carry out your analysis, assume that the market is a perfec

Write Your Message!

Captcha
Free Assignment Quote

Assured A++ Grade

Get guaranteed satisfaction & time on delivery in every assignment order you paid with us! We ensure premium quality solution document along with free turntin report!

All rights reserved! Copyrights ©2019-2020 ExpertsMind IT Educational Pvt Ltd