Volume of solid ring, Physics

Assignment Help:

Volume of Solid Ring

A solid sphere is bored out such that the radial axis of the removed cylinder passes through the centre. The ring of remaining material stands 6 centimetres high. What is a volume of this ring?

1359_Volume of Solid Ring.png

One way to calculate the volume of the ring is to subtract the volume of the removed material from the volume of the original sphere. This bored out material is able to be regarded as a right cylinder with spherical end caps on the two flat surfaces.

One more way is to compute the volume of the excluding the end caps, partial sphere, and then subtract the volume of the right cylinder. We will choose this method.

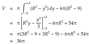
The volume of the partial sphere is able to be calculated by using the disk method and integrating from the top edge of the ring to the bottom edge. Using the centre of the sphere like the origin x as the horizontal axis through the centre and y the vertical axis the equation is

1824_Volume of Solid Ring1.png

The right cylinder has volume

Vc = 6πr2

= 6π(R2- 9)

Where r is the radius of the cylinder Note the requirement: R ≥ 3. So the volume of the ring is V = Vs - Vc.

Subtracting

325_Volume of Solid Ring2.png

Astoundingly this result is independent of the radius of the sphere. As long as the radius R ≥ 3 the result holds. Therefore another way to compute the volume of the ring is to compute the volume of a sphere with R = 3 representing the case of an infinitesimal bored out volume. This sphere, of course, has volume given by

V =4/3πR3= 36π


Related Discussions:- Volume of solid ring

What are multistranded fibers, What are multistranded fibers? Multistra...

What are multistranded fibers? Multistranded optics is narrow walled tubes of transparent material that housing a number of smaller solid core fibers. These inner fibers are, u

Explain rotor, ROTOR:  (i) squirrel -cage rotor (ii) phase-wound or ...

ROTOR:  (i) squirrel -cage rotor (ii) phase-wound or wound-rotor 90% of Induction Motor are squirrel cage type due to this type of rotor has a easiest and the most rugged

When are intermolecular forces the strongest, When are intermolecular force...

When are intermolecular forces the strongest? Intermolecular forces (dipole-dipole, dispersion and hydrogen bonds). These forces are weaker than chemical (covalent) bonds. Thus

What is the hardness of water, What is the hardness of water? How is it exp...

What is the hardness of water? How is it expressed? Hardness is the property of water which stops lather formation with soap. This is because of the presence of certain salts o

State any three laws of photo electric emission, Q. State any three laws of...

Q. State any three laws of photo electric emission? (i) For a specified photo sensitive material there is a minimum frequency called the threshold frequency below which emissio

What is the electric potential in hollow conducting shell, Five coulombs of...

Five coulombs of charge are placed on a thin-walled conducting shell. Once the charge has come to rest, the electric potential in the hollow conducting shell is found to be:

What point does the beam converge, Q. A beam of light converges at a point ...

Q. A beam of light converges at a point P. Now a lens is placed in the path of the convergent beam 12 cm from P. At what point does the beam converge if the lens is (a)a convex len

Graphing motion - position, Graphing Motion - Position, Velocity and Accele...

Graphing Motion - Position, Velocity and Acceleration With graphing and/or the advent of calculus, not only can we calculate the average values like those calculated above, but

Thermodynamics, The internal energy change when a system goes from state A ...

The internal energy change when a system goes from state A to B is 40 kJ/mole. If the system goes from A to B by a reversible path and returns to state A by an irreversible path wh

Physica;lchemistry, what happens when a melt caontaining 1%ag with 99%pb

what happens when a melt caontaining 1%ag with 99%pb

Write Your Message!

Captcha
Free Assignment Quote

Assured A++ Grade

Get guaranteed satisfaction & time on delivery in every assignment order you paid with us! We ensure premium quality solution document along with free turntin report!

All rights reserved! Copyrights ©2019-2020 ExpertsMind IT Educational Pvt Ltd