Throttling process - thermodynamics, Mechanical Engineering

Assignment Help:

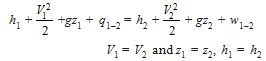
Throttling Process:

The expansion of gas through an orifice or partly opened valve is called as throttling.

q1-2 = 0 and w1-2  = 0

Now             2112_Throttling Process.png

The throttling process is constant enthalpy process.

If readings of pressure and temperature of Joule

Thompson porous plug experiments are plotted,

h1 = h2 = h3  = h4  = h5

The slope of constant enthalpy curve is called as Joule

Thompson coefficient. p = dT/dP

1307_Throttling Process1.png

For perfect gas, p = 0.

 


Related Discussions:- Throttling process - thermodynamics

Exhaust manifold-basic components of engine , Exhaust Manifold : The pipe ...

Exhaust Manifold : The pipe which connects the exhaust system to the exhaust valve of the engine through which the products of combustion escape into the atmosphere is called the

Inspection of fasteners of motorcycle, Inspection of Fasteners: The motorc...

Inspection of Fasteners: The motorcycle carries number of nuts and bolts. They should be properly tightened for the smooth running of motorcycle. All fasteners are checked

Determine heat loss by free convection, Describe Nusselt Number, Reynolds N...

Describe Nusselt Number, Reynolds Number and Prandtl Number. Get the relation between these three for a circular cylinder losing heat in forced convection to the air flowing around

Access and maintenance for pumps, Pumps should be grouped together with goo...

Pumps should be grouped together with good maintenance access to the motor, and good personnel access to seals and suction / discharge valves. Maintenance access should allow for r

What do you mean by stage discharge relationship, Q. What do you mean by St...

Q. What do you mean by Stage Discharge Relationship? Regular recording of discharges over a period of time is essential for estimation of water resources of river basins and su

General factors behind accidents , GENERAL FACTORS BEHIND ACCIDENT:  Follow...

GENERAL FACTORS BEHIND ACCIDENT:  Following are the factors, which may cause accidents in workshop, so we should take care of these factors: Insufficient light and ventilati

Compaction-manufacturing methods of ceramics, Compaction This is carri...

Compaction This is carried out in several manners that might occupy the addition of a binder or lubricant and application of pressure. Sintering is densification of assembled

Illustrate the several kinds of chips, (a) Illustrate the several kinds of ...

(a) Illustrate the several kinds of chips formed during metal cutting with neat diagrams. (b) Why is Titanium Nitride a valuable tool coating? (c) Give the differences betwee

Stresses and strains, The round tensile specimen given  below has a diamete...

The round tensile specimen given  below has a diameter of 0.5 in. A load, F, is applied and the deflection, g , is calculated. Given the following                    d = 0.5 in

Boiler, what is boiler ? what is hard & soft water? how can we convert raw ...

what is boiler ? what is hard & soft water? how can we convert raw water into soft water?

Write Your Message!

Captcha
Free Assignment Quote

Assured A++ Grade

Get guaranteed satisfaction & time on delivery in every assignment order you paid with us! We ensure premium quality solution document along with free turntin report!

All rights reserved! Copyrights ©2019-2020 ExpertsMind IT Educational Pvt Ltd