Powerset construction, Theory of Computation

Assignment Help:

As de?ned the powerset construction builds a DFA with many states that can never be reached from Q′0. Since they cannot be reached from Q′0 there is no path from Q′0 to a state in F′ which passes through them and they can be deleted from the automaton without changing the language it accepts. In practice it is much easier to build Q′ as needed, only including those state sets that actually are needed.

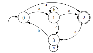
To see how this works, lets carry out an example. For maximum generality, let's start with the NFA with ε-transitions given above, repeated here:

1876_Powerset Construction.png

Because it is simpler to write the transition function (δ) out as a table than it is to write out the transition relation (T) as a set of tuples, we will work with the δ representation. When given a transition graph of an NFA with ε-transitions like this there are 6 steps required to reduce it to a DFA:

1. Write out the transition function and set of ?nal states of the NFA.

2. Convert it to an NFA without ε-transitions.

(a) Compute the ε-Closure of each state in the NFA.

(b) Compute the transition function of the equivalent NFA without ε-transitions.

(c) Compute the set of ?nal states of the equivalent NFA without ε- transitions.


Related Discussions:- Powerset construction

Strictly local generation automaton, Another way of interpreting a strictly...

Another way of interpreting a strictly local automaton is as a generator: a mechanism for building strings which is restricted to building all and only the automaton as an inexh

Strictly 2-local languages, The fundamental idea of strictly local language...

The fundamental idea of strictly local languages is that they are speci?ed solely in terms of the blocks of consecutive symbols that occur in a word. We'll start by considering lan

Normal forms, how to convert a grammar into GNF

how to convert a grammar into GNF

Sketch an algorithm to recognize the language, First model: Computer has a ...

First model: Computer has a ?xed number of bits of storage. You will model this by limiting your program to a single ?xed-precision unsigned integer variable, e.g., a single one-by

Computations of sl automata, We will specify a computation of one of these ...

We will specify a computation of one of these automata by specifying the pair of the symbols that are in the window and the remainder of the string to the right of the window at ea

Kleene Closure, 1. Does above all''s properties can be used to prove a lang...

1. Does above all''s properties can be used to prove a language regular? 2..which of the properties can be used to prove a language regular and which of these not? 3..Identify one

Reducibility among problems, A common approach in solving problems is to tr...

A common approach in solving problems is to transform them to different problems, solve the new ones, and derive the solutions for the original problems from those for the new ones

Assignment, Consider a water bottle vending machine as a finite–state autom...

Consider a water bottle vending machine as a finite–state automaton. This machine is designed to accept coins of Rs. 2 and 5 only. It dispenses a single water bottle as soon as the

Two-tape turing machine, Let there L1 and L2 . We show that L1 ∩ L2 is CFG ...

Let there L1 and L2 . We show that L1 ∩ L2 is CFG . Let M1 be a decider for L1 and M2 be a decider for L2 . Consider a 2-tape TM M: "On input x: 1. copy x on the second

Transition and path functions, When an FSA is deterministic the set of trip...

When an FSA is deterministic the set of triples encoding its edges represents a relation that is functional in its ?rst and third components: for every q and σ there is exactly one

Write Your Message!

Captcha
Free Assignment Quote

Assured A++ Grade

Get guaranteed satisfaction & time on delivery in every assignment order you paid with us! We ensure premium quality solution document along with free turntin report!

All rights reserved! Copyrights ©2019-2020 ExpertsMind IT Educational Pvt Ltd