Long period oscillation , Other Engineering

Assignment Help:

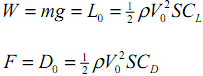
The phugoid is a relatively low-frequency oscillation in which kinetic and potential energies are exchanged. The mode is generally characterized by low damping and approximately constant incidence: i.e. CL and CD both constant. In the following simplified analysis, it is assumed that the aircraft is initially trimmed straight-and-level at a horizontal speed V0. Lift and weight balance, as do thrust and drag.

2008_Long Period Oscillation.png

We now assume that the velocity vector is perturbed from V=(V0, 0) to V=(V0+u, w) where u and w are small (relative to V0) perturbations in the x and z directions in the inertial (i.e. non-rotating and non-accelerating) axis system oxz. Using a local tangent approximation to the quadratic dependency of lift and drag on speed, the lift and drag will increase by small increments

 


Related Discussions:- Long period oscillation

Finite Element Analysis Assignment, Need help using FEA/FEM software (MSC M...

Need help using FEA/FEM software (MSC Marc/Mentat) to model and analyze a system,then write a lab report about it, it is due tomorrow... anything you can do for me?

Field effect transistors, FIELD EFFECT TRANSISTORS (FET) A field-effect...

FIELD EFFECT TRANSISTORS (FET) A field-effect transistor (FET) is a semiconductor device in which the current flowing through a conduction channel i.e. between two terminals ca

Types of engine, TYPES OF ENGINE: The internal combustion engines for the ...

TYPES OF ENGINE: The internal combustion engines for the automotive use may be classified according to the following considerations: Engine cycle Number of strokes F

Aircraft fuel gauges, Aircraft fuel gauges Fuel gauge senders are capac...

Aircraft fuel gauges Fuel gauge senders are capacitor transducers that consist of concentric tubular electrodes from top to bottom of the tank. They are distributed at various

False alarms & cm , False Alarms & CM  The mis-association of false ...

False Alarms & CM  The mis-association of false alarms with target tracks has two main e!ects.  - It tends to increase the actual tracking errors in the system because

Process Control, Specify the inner-loop gain such that the damping coeffici...

Specify the inner-loop gain such that the damping coefficient of the closed loop is equal to 0.4

Inlet duct arrangement in aircraft engine, Inlet duct arrangement in Aircra...

Inlet duct arrangement in Aircraft Engine: Wherever the APU is located, ducting will be required to bring air to the APU inlet. In figure 18.9. we can see that the inlet duct

Carrer, i want to do aeronautics engg. but my height is only five feet . so...

i want to do aeronautics engg. but my height is only five feet . so can i go in aeronautics

Slip and slip plane, Q. What is slip? What is slip plane? What are principa...

Q. What is slip? What is slip plane? What are principal if slip planes and slip direction for BCC, FCC and HCP crystal? Ans. X-ray diffraction studies show that the crystalli

Write Your Message!

Captcha
Free Assignment Quote

Assured A++ Grade

Get guaranteed satisfaction & time on delivery in every assignment order you paid with us! We ensure premium quality solution document along with free turntin report!

All rights reserved! Copyrights ©2019-2020 ExpertsMind IT Educational Pvt Ltd