Locally weighted regression, Advanced Statistics

Assignment Help:

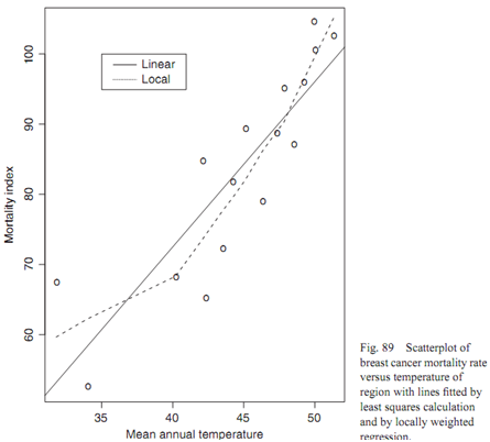
Locally weighted regression is the method of regression analysis in which the polynomials of degree one (linear) or two (quadratic) are used to approximate regression function in particular 'neighbourhoods' of the space of explanatory variables. It is many times useful for smoothing scatter diagrams to allow any structure to be seen more clearly and for identifying the possible non-linear relationships between the response and the explanatory variables. A robust estimation procedure (which is usually known as loess) is taken in use to guard against deviant points distorting the smoothed points. Essentially the procedure involves an adaptation of the iteratively reweighted least squares. The example shown in the figure illustrates the situation in which the locally weighted regression differs considerably from the linear failure of y on x as fitted by least squares estimation.

671_locally weighted regression.png 


Related Discussions:- Locally weighted regression

Fibonacci distribution, The probability distribution of the various observa...

The probability distribution of the various observations is required to obtain the run of two successes in the series of Bernoulli trials with the probability of success equal to a

Identifying the necessary and sufficient conditions, You have probably noti...

You have probably noticed by now that some of the statements of necessary and sufficient conditions sound more natural than others. For example it seems more natural to express "We

Bonferroni correction, Bonferroni correction : A procedure for guarding aga...

Bonferroni correction : A procedure for guarding against the rise in the probability of a type I error when performing the multiple signi?cance tests. To maintain probability of a

Data mining, The non-trivial extraction of implicit, earlier unknown and po...

The non-trivial extraction of implicit, earlier unknown and potentially useful information from data, specifically high-dimensional data, using pattern recognition, artificial inte

Explain remedian, Remedian: The robust estimator of location which is comp...

Remedian: The robust estimator of location which is computed by an iterative process. By assuming that the sample size n can be written as bk where b and k are the integers, the s

Dirichlet process, The distribution over distributions in the sense that ea...

The distribution over distributions in the sense that each draw from the process is itself the distribution. The name Dirichlet process or procedure is due to the fact that the ?ni

Whats the answers?, #ques12. There is some evidence that REM sleep, associa...

#ques12. There is some evidence that REM sleep, associated with dreaming, may also play a role in learning and memory processing. For example, Smith and Lapp (1991) found increased

F-test, A test for equality of the variances of the two populations having ...

A test for equality of the variances of the two populations having normal distributions, based on the ratio of the variances of the sample of observations taken from each. Most fre

Explain markers of disease progression, Markers of disease progression : Qu...

Markers of disease progression : Quantities which form a general monotonic series throughout the course of the disease and assist with its modelling. In uasual such quantities are

Cauchy distribution, Cauchy distribution : The probability distribution, f ...

Cauchy distribution : The probability distribution, f (x), can be given as follows   where α is the position of the parameter (median) and the beta β a scale parameter. Moments

Write Your Message!

Captcha
Free Assignment Quote

Assured A++ Grade

Get guaranteed satisfaction & time on delivery in every assignment order you paid with us! We ensure premium quality solution document along with free turntin report!

All rights reserved! Copyrights ©2019-2020 ExpertsMind IT Educational Pvt Ltd