Give an example of resource allocation graph & deadlocked, Computer Engineering

Assignment Help:

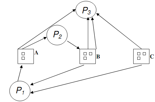
Suppose there are 2 copies of resource A, 3 copies of resource B, and 3 copies of resource C. Suppose further that process 1 holds one unit of resources B and C and is waiting for a unit of A; that process 2 is holding a unit of A and waiting on a unit of B; and that process 3 is holding one unit of A, two units of B, and one unit of C. Draw the resource allocation graph. Is the system in a deadlocked state? Why or why not?

Resource allocation graph is specified below:

1593_Resource allocation graph.png

Here is a cycle into the resource allocation graph shows system is not in a safe condition. System is in deadlock as needed resources are 1 unit of resource A and 1 unit of resource B whereas available resource is 1 unit of resource C. Not any of the process can be finished.


Related Discussions:- Give an example of resource allocation graph & deadlocked

What is an operating system, What is an operating system?  An operating...

What is an operating system?  An operating system is a program that handles the computer hardware. It acts as an intermediate among users of a computer and the computer hardwar

Displaying the list of files with dir, Q. Displaying the List of Files with...

Q. Displaying the List of Files with DIR? You can display the list of files kept in a diskette or hard disk with the DIR commend. This Commends list files and sub directories i

Find the nyquist rate, Find the Nyquist rate for the following signals: (a)...

Find the Nyquist rate for the following signals: (a) x(t) = 5 sin 3000πt cos 4000πt (b) A binary channel with bit rate 36000 bps is available for PCM voice transmission. Fi

Implementing new technologies, There is a free internet access to all their...

There is a free internet access to all their customers they also ensure 24 hours security and for the post of chief information officer when the candidate has come for an interview

Explain the working principle of hard disk, Question : a) Hard disk is ...

Question : a) Hard disk is an important component of a computer. What type of memory is it? b) With the help of a diagram describe its features. c) Explain its working pr

Operation codes used in assembly instructions, Q. Operation codes used in a...

Q. Operation codes used in assembly instructions? Now let's describe various operation codes needed for this machine so that we can translate High level language instructions t

What is a c++ class, Class is a user-defined data type in C++. It can be fo...

Class is a user-defined data type in C++. It can be formed to solve a particular kind of problem. After creation the user require not know the specifics of the working of a class.

Convert the binary number to gray code, Convert the binary number 10110 to ...

Convert the binary number 10110 to Gray code ? Ans. For changing binary number 10110 in its equivalent Gray code the rules are as, the left most bit that is MSB in Gray code is 1

How can i execute a php script using command line, Just run the PHP CLI (Co...

Just run the PHP CLI (Command Line Interface) program and give the PHP script file name as the command line argument. For instance, "php myScript.php", assuming "PHP" is the comman

Overview of the dreamweaver work area, Q. Overview of the Dreamweaver work ...

Q. Overview of the Dreamweaver work area? Let's start with a brief overview of the Dreamweaver work area. If you haven't already launched Dreamweaver, double-click Dreamweaver

Write Your Message!

Captcha
Free Assignment Quote

Assured A++ Grade

Get guaranteed satisfaction & time on delivery in every assignment order you paid with us! We ensure premium quality solution document along with free turntin report!

All rights reserved! Copyrights ©2019-2020 ExpertsMind IT Educational Pvt Ltd