Find stress intensity factor - thick cylinder, Mechanical Engineering

Assignment Help:

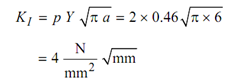
Find stress intensity factor - thick cylinder:

A thick cylinder of ri = 10 mm, r0 = 70 mm carried equal and symmetric radial cracks 6 mm long on opposite sides of inner surface. The inner surface is jacketed with a thin rubber membrane and pressurised with 2 N/mm2 pressure. Find SIF.

Solution

r0 / ri= 70 /10 = 7; a / (r0 - ri) = 6 / (70 - 10) = 0.1

From Figure, for r0 / ri =7 and a / (r0 - ri) =0.1, Y= 0.46

856_Find stress intensity factor - thick cylinder.png


Related Discussions:- Find stress intensity factor - thick cylinder

Flight of the bumblebee, Flight of the Bumblebee Railroad train T a le...

Flight of the Bumblebee Railroad train T a leaves station A at a uniform speed of 30mph toward station B. Train Tb leaves station B at a uniform speed of 20mph toward station

Calculate the actual mechanical output, Question: A 4- pole DC motor is...

Question: A 4- pole DC motor is operated as a separately excited motor.  When the motor is externally driven at 1800 rpm with rated field current and zero armature current,

Design of screw feeder and screw conveyor, A new process plant for ore proc...

A new process plant for ore processing is currently being planned. The design is only in the first stage. However, three requirements have already been clearly stated: - The bins s

High carbon tool steels, High Carbon Tool Steels Tools are implements...

High Carbon Tool Steels Tools are implements such are employed to shape, cut or deform other materials. They are largely made in steel, although other alloys have also been i

Show the support locations for truckable skid, Q. Show the support location...

Q. Show the support locations for truckable skid? Unless instructed otherwise by Engineer, support locations for truckable skid shall be determined by skid Vendor. Support loca

Sand blasting handling method, Sand blasting handling method:        ...

Sand blasting handling method:             On last experiment we had decided to use 3.0 bars as it shown better result. Now we had to investigate the sand blasting handling

Describe and calculate humidity ratio, (a) Describe and calculate i) Hum...

(a) Describe and calculate i) Humidity Ratio ii) DPT iii) Relative Humidity iv) Density v) Enthalpy of atmosphere air when DBT is 35 0 C, WBT is 23 0 C and the ba

Benefits of cad, Quality Improvement : CAD can improve the quality of eng...

Quality Improvement : CAD can improve the quality of engineering design by increasing the efficiency and effectiveness of the designers. This can be observed with excellent

Compression ignition engines - thermodynamics, Compressio n Ignition Engin...

Compressio n Ignition Engines (or C.I. Engine): It works on the basis of dieses cycle. In diesel engines, energy addition occurs at constant pressure but energy rejection at

Explain point angle - angle of drills, Explain POINT ANGLE - Angle of drill...

Explain POINT ANGLE - Angle of drills It is also known as a cutting angle. Its most commonly used value for a large variety of materials is 118.Though,its varies from 80 to 140

Write Your Message!

Captcha
Free Assignment Quote

Assured A++ Grade

Get guaranteed satisfaction & time on delivery in every assignment order you paid with us! We ensure premium quality solution document along with free turntin report!

All rights reserved! Copyrights ©2019-2020 ExpertsMind IT Educational Pvt Ltd