Find out the velocity of the mass, Mechanical Engineering

Assignment Help:

Find out the velocity of the mass:

A mass of weight 29.4 Newton is subjected into a time dependent force,

F(t)  = (3t 3  + 5) along x direction. Find out the velocity of the mass after

3 seconds, if initial velocity = 4 metres per second.

Solution

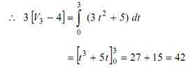
Letting the impulse momentum equation during a period from 0 to 3 seconds

444_Find out the velocity of the mass.png

where, mass m = W/g = 29.4 /9.8 = 3 kg.

and

V(t = 0)  = 4 m / sec

1195_Find out the velocity of the mass1.png

                                 ∴ V3  - 4 = 14

or, V3 after 3 seconds = 18 metres/sec along x direction.


Related Discussions:- Find out the velocity of the mass

What are the basic components of an automobile, What are the basic componen...

What are the basic components of an automobile ? Explain them briefly. Show a schematic diagram showing the layout of the transmission system of a rear wheel driven automobile.

Nominal strain and true strain, Nominal Strain and True Strain: Nomina...

Nominal Strain and True Strain: Nominal Strain is ratio of change in length per initial length.  Nominal strain =  Change in length / Initial length = Δ L /   L

Tank insulation process, Q. Tank Insulation process? With Owner's appro...

Q. Tank Insulation process? With Owner's approval, spray urethane foam may be used. Manufacturer's recommendations for service temperature limit shall be followed for specific

CAPP, Applications of capp

Applications of capp

Kennedy Theorem, the movability of 3 bar mechanism is zero then how can we ...

the movability of 3 bar mechanism is zero then how can we comment on instantaneous centre of it?

Calculate a quarterly delivery schedule, Gibson Ltd operates sportswear sto...

Gibson Ltd operates sportswear stores in Dublin and Cork and has set the following quarterly sales target for international and provlncial rugby shirts for 2013 per the attached sc

Internal combustion engine - thermodynamics, Internal combustion engine - T...

Internal combustion engine - Thermodynamics: Internal combustion engine is popularly known as I.C. engine, is heat engine that converts the heat energy released by the combust

Explain the deformation processes, Deformation Processes In these proce...

Deformation Processes In these processes, the material is plastically deformed (hot or cold) under the action of an external force, to produce the required shape. No material i

Heat faster steel copper or brass, Which conducts heat faster steel copper ...

Which conducts heat faster steel copper or brass? Ans) Copper conducts heat faster than steel or brass. Any material that is good for conducting heat is also good for electricit

Piping stress analysis, The Mechanical Engineer/Specialist shall be respons...

The Mechanical Engineer/Specialist shall be responsible for coordinating project issues related to stress analysis, as they relate to his/her equipment, with the Stress Engineer/Sp

Write Your Message!

Captcha
Free Assignment Quote

Assured A++ Grade

Get guaranteed satisfaction & time on delivery in every assignment order you paid with us! We ensure premium quality solution document along with free turntin report!

All rights reserved! Copyrights ©2019-2020 ExpertsMind IT Educational Pvt Ltd