Find out the value of the subsequent summation, Mathematics

Assignment Help:

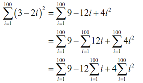
Using the formulas and properties from above find out the value of the subsequent summation.

1438_formula1.pngc

The first thing that we require to do here is square out the stuff being summed and after that break up the summation by using the properties as given here,

1041_formula2.png

Here, using the formulas, it is easy to calculate,

     1438_formula1.png  (3 - 2i)2 = 9(100) - 12((100(101))/2) + 4((100(101)(201))/6)

= 1293700

Doing this by hand would definitely taken some time and there's a good chance that we might have made a minor mistake somewhere along the line.


Related Discussions:- Find out the value of the subsequent summation

Rlc circuit, State clearly that the current in an RLC circuit with an AC so...

State clearly that the current in an RLC circuit with an AC source with and without the use of complex variables

Projections - vector, Projections The good way to understand projection...

Projections The good way to understand projections is to see a couple of diagrams. Thus, given two vectors a → and b → we want to find out the projection of b → onto a → . T

Draw a lattice hierarchy for dimension, New England University maintains a ...

New England University maintains a data warehouse that stores information about students, courses, and instructors. Members of the university's Board of Trustees are very much inte

Pair of st line, #qu Given the equation through what angle should the axes...

#qu Given the equation through what angle should the axes be rotated so that the term in xy be waiting from the transformed equation. estion..

Explain simple classification and chance and probability, E1) From your exp...

E1) From your experience, and what you have studied so far, by which age would-you expect an average child to be ready to acquire the following concepts? i) Simple classificatio

To calculate volume of cylinder which formula is used, Mimi is filling a te...

Mimi is filling a tennis ball can along with water. She wants to know the volume of the cylinder shaped can. Which formula will she use? The volume of a cylinder is π times the

Determinant, The subsequent topic that we require to take a look at is the ...

The subsequent topic that we require to take a look at is the determinant of a matrix. The determinant is in fact a function that gets a square matrix and converts this in a number

Proof for absolute convergence - sequences and series, Proof for Absolute C...

Proof for Absolute Convergence Very first notice that |a n | is either a n or it is - a n depending upon its sign.  The meaning of this is that we can then say, 0 a n +

Developing estimation skills in maths, DEVELOPING ESTIMATION SKILLS :  A s...

DEVELOPING ESTIMATION SKILLS :  A study was done with some Class 3 and Class 4 children of five village schools to gauge how well they had understood the standard algorithms. The

Partial Differentiation, If the sides angles of a triangle ABC vary in such...

If the sides angles of a triangle ABC vary in such a way that it''s circum - radius remain constant. Prove that, da/cos A +db/cos B+dc/cos C=0

Write Your Message!

Captcha
Free Assignment Quote

Assured A++ Grade

Get guaranteed satisfaction & time on delivery in every assignment order you paid with us! We ensure premium quality solution document along with free turntin report!

All rights reserved! Copyrights ©2019-2020 ExpertsMind IT Educational Pvt Ltd