Fatigue crack propagation, Mechanical Engineering

Assignment Help:

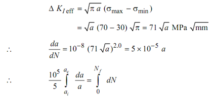
Fatigue crack propagation:

If it is assumed that no plastic deformation occurs around crack tip and law of fatigue crack propagation for place of above Example is da/dN =  10- 8 (Δ KI eff )2.0 mm/cycle , find after how many cycles the plate will fracture.

Solution

Δ K I = ΔK I eff     because there is no plastic deformation in crack tip neighbourhood.

1926_Fatigue crack propagation.png

ac = 146.14 mm, ai = 35 mm from above Example .

or, Nf   =2´104 ln ( ac/ ai) =  2´104 ln (146.14/35)

or, N f  = 2´104 ln (4.175) = 28584 cycles


Related Discussions:- Fatigue crack propagation

Flash butt welding, Flash Butt Welding This process is an extension of ...

Flash Butt Welding This process is an extension of resistance butt welding. The parts to be joined are gripped in the clamps and their interfaces are gradually brought into con

Example of simple exponential smoothing, Example of simple exponential smoo...

Example of simple exponential smoothing: A TV manufacturer utilizes simple exponential smoothing with α = 0.1 to forecast demand. For the first week of March, the forecast was

Determine the horizontal component of the force, Determine the horizontal c...

Determine the horizontal component of the force: A force of 80 N is working on a bolt as illustrated in Figure. Determine the horizontal and vertical components of the force.

Mechanical design calculations, Q. Mechanical Design Calculations? The ...

Q. Mechanical Design Calculations? The Mechanical Design Engineer/Specialist shall be responsible for mechanical design calculations that are required to ensure that the end pr

Find distance of which wagon will travel before coming rest, Find distance ...

Find distance of which wagon will travel before coming rest: A train of wagons is first pulled on level track from A to B and then up a 5 percent upgrade as shown in the figur

Determine the brake mean effective pressure, A 4 cylinder petrol engine ope...

A 4 cylinder petrol engine operates on the 4-stroke cycle. The bore of each cylinder is 70mm and stroke 100mm. The clearance volume per cylinder is 60cm3. At a speed of 4000rpm, th

Comprehensive awareness, Comprehensive Awareness: Successful entrepreneurs...

Comprehensive Awareness: Successful entrepreneurs should have ability to comprehend complex situations that may include planning, making strategic decisions, and working on multip

Find increase in the length of bar, Find increase in the length of bar: ...

Find increase in the length of bar: Q: Find increase in the length of bar of uniform section because of self weight. Sol.: Take a bar of cross sectional area A and leng

Vibronic spectroscopy - quantum and spectroscopy, Vibronic Spectroscopy: In...

Vibronic Spectroscopy: In the harmonic oscillator approximation, simulate the So-S1 absorption spectrum of a diatomic. The simulation should convey both the energies of the transit

Evaluate maximum shear stress, Evaluate maximum shear stress: Derive ...

Evaluate maximum shear stress: Derive equation subjected to combined bending and torsion for finding out maximum shear stress and its equivalent twisting moment.

Write Your Message!

Captcha
Free Assignment Quote

Assured A++ Grade

Get guaranteed satisfaction & time on delivery in every assignment order you paid with us! We ensure premium quality solution document along with free turntin report!

All rights reserved! Copyrights ©2019-2020 ExpertsMind IT Educational Pvt Ltd