Exponential functions, Mathematics

Assignment Help:

Exponential Functions : We'll begin by looking at the exponential function,

                                                             f ( x ) = a x

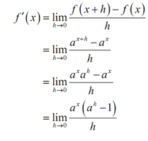
We desire to differentiate this. The power rule which we looked previous section won't work as which required the exponent to be a fixed number & the base to be a variable. That is accurately the opposite from what we've got with this function.  Thus, we're going to have to begin with the definition of the derivative.

698_exponental function.png

Now, the a x is not influenced by the limit as it doesn't have any h's in it and hence is a constant so far as the limit is concerned.  Therefore we can factor this out of the limit. It specified,

2380_exponental function1.png

Now let's notice as well that the limit we've got above is accurately the definition of the derivative  of f ( x ) = a x  at x = 0 , i.e. f ′ (0) .  Thus, the derivative becomes,

                                                 f ′ ( x ) = f ′ (0)a x

 Thus, we are type of stuck.  We have to know the derivative to get the derivative!

There is one value of a that we can deal along with at this point. There are actually a variety of ways to define e. Following are three of them.


Related Discussions:- Exponential functions

Subjective probability, Subjective Probability Probability may be de...

Subjective Probability Probability may be determined by a personal statement of how likely an outcome is in a single trial or repetition of the same experiment. Since sub

5, what is a variable

what is a variable

Calculas, Q1: Find three positive numbers whose sum is 54 and whose product...

Q1: Find three positive numbers whose sum is 54 and whose product is as large as possible.

Evaluate the volume of cylinder, If the diameter of a right cylinder is dou...

If the diameter of a right cylinder is doubled and the height is tripled, its volume is a. multiplied by 12. b. multiplied by 2. c. multiplied by 6 d. multiplied by 3.

Making equally sized groups-prerequisites for multiplication, Making Equall...

Making Equally Sized Groups :  By the time children reach Class 1 or 2, they would have had many experiences of pairs of objects-pairs of shoes, pairs of eyes, ears, arms, legs, w

The null hypothesis, The null hypothesis It is the hypothesis being tes...

The null hypothesis It is the hypothesis being tested, the belief of a specific characteristic for illustration, US Bureau of Standards may walk to a sugar making company along

Simpson rule - approximating definite integrals, Simpson's Rule - Approxima...

Simpson's Rule - Approximating Definite Integrals This is the last method we're going to take a look at and in this case we will once again divide up the interval [a, b] int

Determine the other two sides of the triangle, The radius of the in circle ...

The radius of the in circle of a triangle is 4cm and the segments into which one side is divided by the point of contact are 6cm and 8cm.  Determine the other two sides of the tria

Calculus (The squeeze theorem), When finding the limit as x approaches 0 th...

When finding the limit as x approaches 0 the for function (square root of x^3 + x^2) cos(pi/2x) would the limit not exist because there would be a zero in the denominator?

Write Your Message!

Captcha
Free Assignment Quote

Assured A++ Grade

Get guaranteed satisfaction & time on delivery in every assignment order you paid with us! We ensure premium quality solution document along with free turntin report!

All rights reserved! Copyrights ©2019-2020 ExpertsMind IT Educational Pvt Ltd