Explain wait for graph, Operating System

Assignment Help:

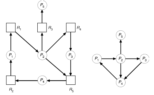
Explain Wait for Graph

a. Use a resource allocation graph to derive a wait-for graph. 

b. Wait-for graph acquired by making an edge from p1 to p2 iff p1 is waiting for a resource which is allocated to p2.

c. Deadlock exists iff a cycle exists in resultant wait-for graph.

621_Wait for graph.png


Related Discussions:- Explain wait for graph

Major advantages of microkernel approach to system design, Q. What are the ...

Q. What are the major advantages of the microkernel approach to system design? Answer: Benefits usually include the following (a) Adding a new service doesn't require modify

Explain quick fit algorithams, QUICK FIT ALGORITHAMS Here we keep apart...

QUICK FIT ALGORITHAMS Here we keep apart lists for holes and processes. Therefore this reduces the searching time for holes Hole list and Process list. If we organize the li

Multilevel queue scheduling algorithm suffer from starvation, 1. Suggest so...

1. Suggest some mechanism(s) to lower the dispatch latency while scheduling for a real-time system. Also, discuss any trade-off or consequent constraint associated with it, if a

search tree generated by hill-climbing search, Show the search tree genera...

Show the search tree generated by Hill-Climbing search (text figure 4.2, page 122; or Local Search lecture, slide 6) for each of the two heuristics (a) and (b) applied to the follo

Packets and time division multiplexing (tdm), Broken data into small packet...

Broken data into small packets allow time division multiplexing. In TDM every packet leaves the sender and is switched on the shared interaction channel through a multiplexer. At t

Explain enhanced second-chance algorithm, Enhanced second-chance algorithm....

Enhanced second-chance algorithm. When we increase the second-chance algorithm by considering both the reference bit and the modify bit as an order pair. We have the following

Drawbacks of least-recently used algorithm, The question of fairness, regar...

The question of fairness, regarding page eviction, is a hard one. How do we decide what is fair? Many operating systems use global LRU, where pages from all processes are managed t

What are the various process scheduling concepts, What are the various proc...

What are the various process scheduling concepts? a) Scheduling queues with diagram b) Queuing diagram c) Schedulers d) Context switch with diagram

Explain the overlay structured program, Overlay structured program: A p...

Overlay structured program: A program consisting of overlays is referred as overlay structured program in which an overlay is a part of program which has similar load origin as

Explain swapping technique used in pre-3bsd unix systems?, What are the dis...

What are the disadvantages of swapping technique used in pre-3BSD UNIX systems? If there is excessively much memory contention, processes are swapped out until sufficient

Write Your Message!

Captcha
Free Assignment Quote

Assured A++ Grade

Get guaranteed satisfaction & time on delivery in every assignment order you paid with us! We ensure premium quality solution document along with free turntin report!

All rights reserved! Copyrights ©2019-2020 ExpertsMind IT Educational Pvt Ltd