Explain randomized response technique, Advanced Statistics

Assignment Help:

Randomized response technique: The procedure for collecting the information on sensitive issues by means of the survey, in which an element of chance is introduced as to what query a respondent has to answer. In the survey about abortion, for instance, a woman may be posed both the questions 'have you had an abortion' and 'have you never had an abortion', and is asked to respond to one or the other depending on the outcome of a randomizing device in her control. The response is now not revealing since no one except the respondent knows which question has been answered. Yet the data attained can be used to estimate the quantities of interest, here, for instance, the proportion of women who have had an abortion (π); if the probability of selecting the question 'have you had an abortion', P, is known and is not equal to 0.5. If y is the proportion of 'yes' answers to this question in a random sample of n respondents, one estimator of π can be given by the following formula
792_randomized response technique.png 
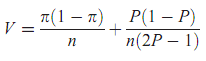
This estimator is unbiased and has the variance, V
2353_randomized response technique1.png


Related Discussions:- Explain randomized response technique

Concordant mutations test, Concordant mutations test : A statistical test u...

Concordant mutations test : A statistical test used in the cancer studies to determine whether or not a diagnosed second primary tumour is biologically independent of the original

Barnard, Barnard, George Alfred (1915^2002) : Born in Walthamstow in the ea...

Barnard, George Alfred (1915^2002) : Born in Walthamstow in the east of London, Barnard achieved a scholarship to St. John's College, Cambridge, from where he graduated in the math

Clustered data, Clustered data : The term applied to both the data in whic...

Clustered data : The term applied to both the data in which the sampling units are grouped into the clusters sharing some common feature, for instance families or geographical reg

Range, Range is the difference between the largest and smallest observatio...

Range is the difference between the largest and smallest observations in the data set. Commonly used as an easy-to-calculate measure of the dispersion in the set of observations b

Locally weighted regression, Locally weighted regression  is the method of ...

Locally weighted regression  is the method of regression analysis in which the polynomials of degree one (linear) or two (quadratic) are used to approximate regression function in

Fiducial inference, The problematic and enigmatic theory of an inference in...

The problematic and enigmatic theory of an inference introduced by the Fisher, which extracts a probability distribution for the parameter on the basis of the data without having f

Component bar chart, Component bar chart : A bar chart which shows the comp...

Component bar chart : A bar chart which shows the component parts of the aggregate represented by the whole length of the bar. The component parts are shown as the sectors of bar w

Gauss markov theorem, This is the theorem which states that if the error te...

This is the theorem which states that if the error terms in a multiple regression have the same variance and are not corrected, then the estimators of the parameters in the model p

Nearest-neighbour methods, Nearest-neighbour methods are the methods of di...

Nearest-neighbour methods are the methods of discriminant analysis are based on studying the training set subjects much similar to the subject to be classified. Classification mig

Dropout, A subject who withdraws from the study for whatever reason, advers...

A subject who withdraws from the study for whatever reason, adverse side effects, noncompliance, moving away from the district, etc. In number of cases the reason may not be known.

Write Your Message!

Captcha
Free Assignment Quote

Assured A++ Grade

Get guaranteed satisfaction & time on delivery in every assignment order you paid with us! We ensure premium quality solution document along with free turntin report!

All rights reserved! Copyrights ©2019-2020 ExpertsMind IT Educational Pvt Ltd