Explain inductorless filters, Electrical Engineering

Assignment Help:

Q. Explain Inductorless Filters

Inductorless (Active) Filters

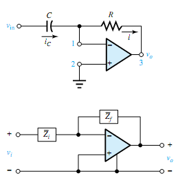
Filters (used to pass or eliminate certain frequency components of a signal) that are suitable for IC fabrication, but which do not contain inductors, are known as active filters. They have the op amp as a common component. Figure 5.4.13 shows the basic op-amp circuit with frequency-dependent impedances. The voltage gain or voltage transfer function of this circuit is given by

1740_Explain Inductorless Filters.png

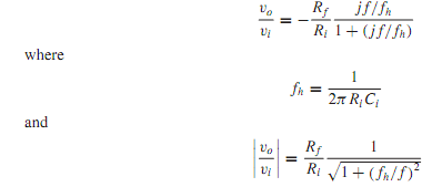
with Zi = Ri and Zf = Rf (1/j ωCf ) (i.e., Rf and Cf in parallel). We have a low-pass filter with

1215_Explain Inductorless Filters1.png

1281_Explain Inductorless Filters2.png

952_Explain Inductorless Filters3.png

is sketched in Figure 5.4.14, from which one can see that at the half-power or 3-dB point of fl, the dc value Rf /Ri goes down by a factor of 1/ √ 2 or 0.707. With Zf = Rf and Zi = Ri + 1/j ωCi (i.e., Ri and Ci in series), we have a high-pass filter for which we obtain

1121_Explain Inductorless Filters4.png

1344_Explain Inductorless Filters5.png


Related Discussions:- Explain inductorless filters

Show color television receiver, A color television receiver is shown in Fig...

A color television receiver is shown in Figure in block diagram form, indicating only the basic functions. The early part forms a straightforward superheterodyne receiver, except f

Describe watch dog timer and reaction timer, a. Given a timer with a termin...

a. Given a timer with a terminal count and a clock frequency of 10 MHz measure the following: (i) Range & Resolution (ii) Terminal count values needed to measure 3ms interval

Robotic Arm Project, This is basically a simple senior design project where...

This is basically a simple senior design project where the professors are giving us a limited budget and providing us with an Arduino Board. (We can use rasberry pi, beagle bone, e

Determine the magnetic flux, Determine the magnetic flux: A coil is wo...

Determine the magnetic flux: A coil is wound uniformly with 300 turns over a steel ring of relative permeability 900, with a mean circumference of 40mm and cross-sectional are

Describing the steady state effect , Select the response describing the ste...

Select the response describing the steady state effect of increasing the air gap for otherwise identical devices, one operating with constant DC voltage excitation and one with con

Calculate the induced voltage at full load, A 100-kW, 230-V shunt generator...

A 100-kW, 230-V shunt generator has R a = 0.05  and R f = 57.5 . If the generator operates at rated voltage, calculate the induced voltage at (a) full load, and (b) one-half fu

Identify a variety of security threats, Each year the University computer s...

Each year the University computer society holds a „virtual fair? in Second Life in order to raise money for charity. The main attraction at the event is a lucky dip, where attendee

Explain intrinsic semiconductor, Explain Intrinsic Semiconductor. Intr...

Explain Intrinsic Semiconductor. Intrinsic Semiconductor: An extremely pure semiconductor is termed as intrinsic semiconductor. But at absolute zero temperature its valence b

Phasor relation between different voltages and currents, Phasor relation be...

Phasor relation between different voltages and currents: In the capacitive circuit of Figure, find 1.      Impedance, 2.      Resultant current, 3.      Power factor,

Estimate the network resistance, When three resistors R1, R2 and R3 are con...

When three resistors R1, R2 and R3 are connected in parallel as shown in the diagram. For these resistors the equivalent resistance is given by: a. Derive a rule to

Write Your Message!

Captcha
Free Assignment Quote

Assured A++ Grade

Get guaranteed satisfaction & time on delivery in every assignment order you paid with us! We ensure premium quality solution document along with free turntin report!

All rights reserved! Copyrights ©2019-2020 ExpertsMind IT Educational Pvt Ltd