Explain deadlock detection algorithm for single instance, Computer Engineering

Assignment Help:

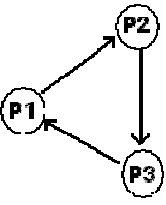
Explain deadlock detection algorithm for single instance of each resource type.

For single instance of each resource type the deadlock detection algorithm:

(i) Maintain a wait: In the graph nodes represent process. If process i is waiting for resource hold through process j. After that there is an edge from I to j.

984_wait for graph.png

(ii) Periodically invokes an algorithm which searches for cycles into the graph. If there is a cycle in the wait-for-graph so a dead lock is as exist in the system.


Related Discussions:- Explain deadlock detection algorithm for single instance

General concepts of links and association, General Concepts of links and as...

General Concepts of links and association A link is a conceptual or physical connection among objects for instance. Mathematically, you can define a link as a tuple which is a

Rectifier output with fitters, Rectifier output with fitters: When hal...

Rectifier output with fitters: When half-wave and full-wave rectification suffice to deliver a type of DC output, neither produces constant-voltage DC (direct current). To gen

What are qualified associations, What are qualified associations? A qua...

What are qualified associations? A qualified association is an association in which an attribute known as the qualifier disambiguates the object many associated end.

File structures, Write in brief about UNIX process structure.

Write in brief about UNIX process structure.

What are the various hazards encountered in pipelining, What is pipelining?...

What is pipelining? What are the various hazards encountered in pipelining?  Explain in detail. The major characteristics of a pipeline are: a) Pipelining cannot be exe

What search method would be most appropriate and why, (a) Describe fully in...

(a) Describe fully in your own words the following terms: (i) Turing Test (ii) Agent (iii) Utility-based agent (b) A Mars rover has to leave the lander, collect rock sample

Determine the gray code for decimal number, Determine the equivalent Gr...

Determine the equivalent Gray code for decimal number 6 ? Ans. The equivalent Gray code for decimal number 6 is 0101 Because the Decimal number 6 is equivalent to binary nu

Explain cell spacing and cell padding, Q. Explain Cell Spacing and Cell Pad...

Q. Explain Cell Spacing and Cell Padding? Couple of attributes known as CELLSPACING and CELLPADDING. Both are part of tag. CELLPADDING is the amount of space between

Enumerate in brief about the intranet security policy, Enumerate in brief a...

Enumerate in brief about the Intranet security policy An Intranet security policy is a very broad topic and it cannot be covered easily in few pages since it differs from situa

Write Your Message!

Captcha
Free Assignment Quote

Assured A++ Grade

Get guaranteed satisfaction & time on delivery in every assignment order you paid with us! We ensure premium quality solution document along with free turntin report!

All rights reserved! Copyrights ©2019-2020 ExpertsMind IT Educational Pvt Ltd