Explain basic working of integrators, Electrical Engineering

Assignment Help:

Q. Explain basic working of Integrators?

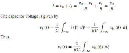
Figure shows a noninverting integrator, which can be seen to be a negative impedance converter added with a resistor and a capacitor. Noting that vo = 2v1 and i3 = v1/R, the total capacitor current is

which shows that the circuit functions as an integrator.

Replacing R2 in the inverting amplifier of Figure by a capacitance C results in the somewhat simpler integrator circuit shown in Figure, known as an inverting integrator, or Miller integrator. With ideal op-amp techniques, iC = iin = vin/R. The voltage across C is just vo, so that

1596_Explain basic working of Integrators.png

which illustrates that the network behaves as an integrator with sign inversion.

1396_Explain basic working of Integrators1.png


Related Discussions:- Explain basic working of integrators

Determine voltage - current and the power, Q. Determine v, i, and the power...

Q. Determine v, i, and the power delivered to elements in the network given in Figure. Check whether conservation of power is satisfied by the circuit.

Explain the architecture of ss7, Q. explain the architecture of SS7 and com...

Q. explain the architecture of SS7 and compare with seven-layer OSI architecture. Ans: A block schematic diagram of CCITT no. 7 signalling system is displayed in figure. Sig

What is a control word, What is a control word? It is a word kept in a ...

What is a control word? It is a word kept in a register (control register) used to control the operation of a program digital device.

Construction and working of analog type storage oscilloscope, Q.   Describe...

Q.   Describe in detail the construction and working of analog type storage oscilloscope. Explain the principle of secondary emission. Analog Storage Oscilloscopes: Storage o

Sampled-data and digital control systems, Q. Sampled-data and digital contr...

Q. Sampled-data and digital control systems? These differ fromthe continuous-data systems in that the signals at one or more points of the system are in the form of either a pu

Rim read interrupt mask instruction, RIM Read Interrupt Mask Instruction ...

RIM Read Interrupt Mask Instruction This  instruction is used  to read the  status  of interrupts  and  read the serial  input  data. The status  byte is loaded  into  the accu

Analog & Digital Filtering, 1) Assume that we are given the continuous-time...

1) Assume that we are given the continuous-time signal xa (t) = xa1 (t) + xa2 (t) + xa3 (t), where, xa1 (t) = 2 + cos3 (2pf1 t + p 3 ) + 2 cos(2pf2 t), xa2 (t) = 2 cos(2pf3 t)

Comparison between motorola processors and intel processors, Differentiate ...

Differentiate between Motorola processors and INTEL processors. Comparison between Motorola processors and INTEL processors: AMD/Intel processors are actually about similar t

Describe the meaning of standing wave ratio, a. Describe the meaning of sta...

a. Describe the meaning of standing wave ratio. What is the formula for it, if the load is purely resistive? Why is a high value of SWR often undesirable? b. Determine how the c

Write Your Message!

Captcha
Free Assignment Quote

Assured A++ Grade

Get guaranteed satisfaction & time on delivery in every assignment order you paid with us! We ensure premium quality solution document along with free turntin report!

All rights reserved! Copyrights ©2019-2020 ExpertsMind IT Educational Pvt Ltd