Explain basic execution time model, Software Engineering

Assignment Help:

Q. Explain Basic Execution Time Model?

The model was developed by the J.D. MUSA in 1979(MUSA79) and is based on execution time. It is presumed that failures may occur according to a non-homogeneous Poisson Process (NHPP) Real world events may be described using Poisson processes. Instance of Poisson processes are

- A Number of telephone calls expected in a given period of time

- Expected figure of road accidents in a given period of time

- Expected figure of persons visiting in a shopping mall in a given period of time.

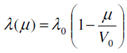
In this model the reduce in failure intensity as a function of the number of failures observed is constant and is given as:

288_Explain Basic Execution Time Model.png

Where Initial failure intensity at the start of execution.

V0 Number of failures experienced, if program is executed for Infinite time period μ Average as well expected number of failures experienced at a given point in time. These models imply a uniform operational profile. If every input class are selected equally often the various faults have an equal probability of manifesting themselves. The correction of whichever of those faults then contributes an equal decrease in the failure intensity. The negative sign publicized that there is a negative slope meaning thereby a decrementing trend in failure intensity.


Related Discussions:- Explain basic execution time model

Explain the regression testing, What is regression testing? Regression...

What is regression testing? Regression testing is the re-execution of some subject texts that have previously been conducted to make sure that changes have not propagated unin

Show the cost drivers used in cocomo model, Q. Show the cost drivers used i...

Q. Show the cost drivers used in COCOMO model? A variety of attributes of cost drivers used in COCOMO model are: 1. Physical attributes : These are worried with required

What is software life cycle, Software life cycle starts when a software pro...

Software life cycle starts when a software product is first conceived and ends when it is no longer in use. It contains aspects such as initial concept, requirements analysis, inte

Explain big-bang testing, Big-Bang Testing : In this all the modules after ...

Big-Bang Testing : In this all the modules after unit testing are joint and tested in one go. The problem with this type of testing is debugging of errors.

Why testing is significant with respect to software, Why testing is importa...

Why testing is important with respect to software? A testing process focuses on logical internals of software ensuring that all statements have been tested and all are function

What is bottom-up approach, What is bottom-up approach? System develop...

What is bottom-up approach? System developed starting from detailed modules. Testing begins from the detailed modules and proceeds up to the higher levels of hierarchy.

What is maintenance, Define maintenance. Maintenance is defined as the ...

Define maintenance. Maintenance is defined as the procedure in which changes are executed by either modifying the existing system's architecture or by adding new mechanism to t

Category Partition Testing and Data Flow Assignment, The following program ...

The following program will display an integral solution to the quadratic equation ax2+bx+c for integral values of a,b, and c, where a,c fall between 0 and 10, while b falls between

What does modality in data modeling indicates, What does modality in data m...

What does modality in data modeling indicates? Modality shows whether or not a particular data object must participate in the relationship.

List the process maturity levels in seis cmm, List the process maturity lev...

List the process maturity levels in SEIs CMM. Level 1: Initial - Few processes are explained and individual efforts are taken. Level 2: Repeatable - To track cost schedul

Write Your Message!

Captcha
Free Assignment Quote

Assured A++ Grade

Get guaranteed satisfaction & time on delivery in every assignment order you paid with us! We ensure premium quality solution document along with free turntin report!

All rights reserved! Copyrights ©2019-2020 ExpertsMind IT Educational Pvt Ltd