Example of menu driven modular program, MATLAB in Engineering

Assignment Help:

Example of Menu driven modular program:

As an illustration of such a menu-driven program, we will write a program to discover the constant e.

The constant e, known as the natural exponential base, is used broadly in mathematics & engineering. There are many diverse applications of this constant. The value of the constant e is around 2.1718. Raising e to the power of x, or ex, is so general that this is known as the exponential function. In MATLAB, we have seen that, there is a function for above, exp.

The one way to determine the value of e is by finding a limit.

547_Example of Menu driven modular program.png

 

Since the value of n increases on the way to infinity, the outcome of this expression approaches the value of e.

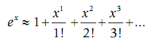
The approximation for an exponential function can be found by using what is known as the Maclaurin series:

2316_Example of Menu driven modular program1.png

 


Related Discussions:- Example of menu driven modular program

Intersect function and setdiff function, Intersect function and setdiff fun...

Intersect function and setdiff function: The intersect function rather than returns all the values which can be found in both of the input argument vectors. >> intersect(v

Illustration of gauss-jordan elimination, Illustration of gauss-jordan elim...

Illustration of gauss-jordan elimination: An illustration of interchanging rows would be r1 ¬→ r3, that would results: Now, beginning with this matrix, an illustration of sc

Frd to ss, I have a frequency response data. How do I convert that to state...

I have a frequency response data. How do I convert that to state space? I am given a 6 row and 3 column data (steady state). How do i convert that to state space model?

Plotting streamline in matlab, I have a vector of X, one for Y , one for x-...

I have a vector of X, one for Y , one for x-direction velocity U and one for y-direction velocity V. they are at same size. How can I plot streamline of that flow? I follow all exa

Illustration of initializing the data structure, Illustration of initializi...

Illustration of initializing the data structure: illustration of initializing the data structure by preallocating is here as shown: >> cyls(3) = struct('code', 'c', 'dimen

Distributed computing on linux cluster, i want to run 4 instances of my mat...

i want to run 4 instances of my matlab code on 4 processor cores. im executing the job from head node. i created a parallel job and assigned number of workers. but i don''t get bac

Image processing, Image Processing: The Images are represented as grid...

Image Processing: The Images are represented as grids, or matrices, of picture elements (known as pixels). In MATLAB an image usually is represented as a matrix in which each

Gauss, Gauss, Gauss-Jordan elimination: For 2 × 2 systems of equations...

Gauss, Gauss-Jordan elimination: For 2 × 2 systems of equations, there are well-defined, easy solution techniques. Though, for the larger systems of equations, finding solutio

Converting between the string and number types, Converting between the Stri...

Converting between the String and Number types: The MATLAB has many functions which convert numbers to strings in which each character element is a separate digit, and vice ve

Passing arguments to functions, Passing arguments to functions: In all...

Passing arguments to functions: In all these functions examples faraway, at least one of the arguments was passed in the function call to be the value(s) of the equivalent inp

Write Your Message!

Captcha
Free Assignment Quote

Assured A++ Grade

Get guaranteed satisfaction & time on delivery in every assignment order you paid with us! We ensure premium quality solution document along with free turntin report!

All rights reserved! Copyrights ©2019-2020 ExpertsMind IT Educational Pvt Ltd