Example of infinite interval - improper integrals, Mathematics

Assignment Help:

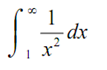
Evaluate the subsequent integral.

1088_Example of Infinite Interval - Improper Integrals 1.png

Solution

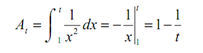
This is an innocent enough looking integral. Though, because infinity is not a real number we cannot just integrate as normal and after that "plug in" the infinity to get the answer, to see how we are going to do this type of integral let's think of this like an area problem. Thus in place of asking what the integral is, let's in place of ask what the area within f (x) = 1/x2 on the interval [1, ∞] is. Till we are not able to do this, though, let's step back a little and instead ask what the area within f (x) is on the interval [1, t] where 1 > t and t is finite. This is a difficulty that we can do.

21_Example of Infinite Interval - Improper Integrals 2.png

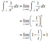
Now, we can get the area under f(x) on [1, ∞] simply by taking the limit of at like t goes to infinity.

1513_Example of Infinite Interval - Improper Integrals 3.png

After that this is how we will do the integral itself.

1276_Example of Infinite Interval - Improper Integrals 4.png


Related Discussions:- Example of infinite interval - improper integrals

Determine the size of belt, On a piece of machinery, the centers of two pul...

On a piece of machinery, the centers of two pulleys are 3 feet apart, and the radius of each pulley is 6 inches. Determine the size of belt (in feet) is required to wrap around bot

Range, identify the range of h(x)=2x+1

identify the range of h(x)=2x+1

Explain why f must be a di?erentiable function, Let f : R 3 → R be de?ned ...

Let f : R 3 → R be de?ned by:                                        f(x, y, z) = xy 2 + x 3 z 4 + y 5 z 6 a) Compute ~ ∇f(x, y, z) , and evaluate ~ ∇f(2, 1, 1) . b) Brie?y

Probability, an insurance salesman sells policies to 5 men, all of identica...

an insurance salesman sells policies to 5 men, all of identical age in good health. the probability that a man of this particular age will be alive 20 years hence is 2/3.Find the p

Calculate the score of contestant on a tv game show, Danny is a contestant ...

Danny is a contestant on a TV game show. If he gets a question right, the points for that question are added to his score. If he gets a question wrong, the points for that question

Tangents, case 2:when center is not known proof

case 2:when center is not known proof

Montel''s Theorem, In 5 pages, please try to prove Theorem 3 based on Monte...

In 5 pages, please try to prove Theorem 3 based on Montel''s Theorem. please use "Latex" Knuth Donald to write this paper. It is known that Theorem 3 on page 137 of the attached

Triangles, if A be the area of a right triangle and b be one of the sides c...

if A be the area of a right triangle and b be one of the sides containing the right angle, prove that the length of the altitude on the hypotenuse is 2Ab/rootb^4+4A^2

the demand forecast, The King Company is producing two types of products: ...

The King Company is producing two types of products: A and B. Both products are produced on the similar machining operation. The machines operate on two 8-hour shifts, 5 days per w

Proportions Ratios, Give me an example , please : 1 over 2 , 14 over twenty...

Give me an example , please : 1 over 2 , 14 over twenty-eight

Write Your Message!

Captcha
Free Assignment Quote

Assured A++ Grade

Get guaranteed satisfaction & time on delivery in every assignment order you paid with us! We ensure premium quality solution document along with free turntin report!

All rights reserved! Copyrights ©2019-2020 ExpertsMind IT Educational Pvt Ltd